Fig. 2: Optoelectronic and synaptic characteristics.
From: A flexible ultrasensitive optoelectronic sensor array for neuromorphic vision systems

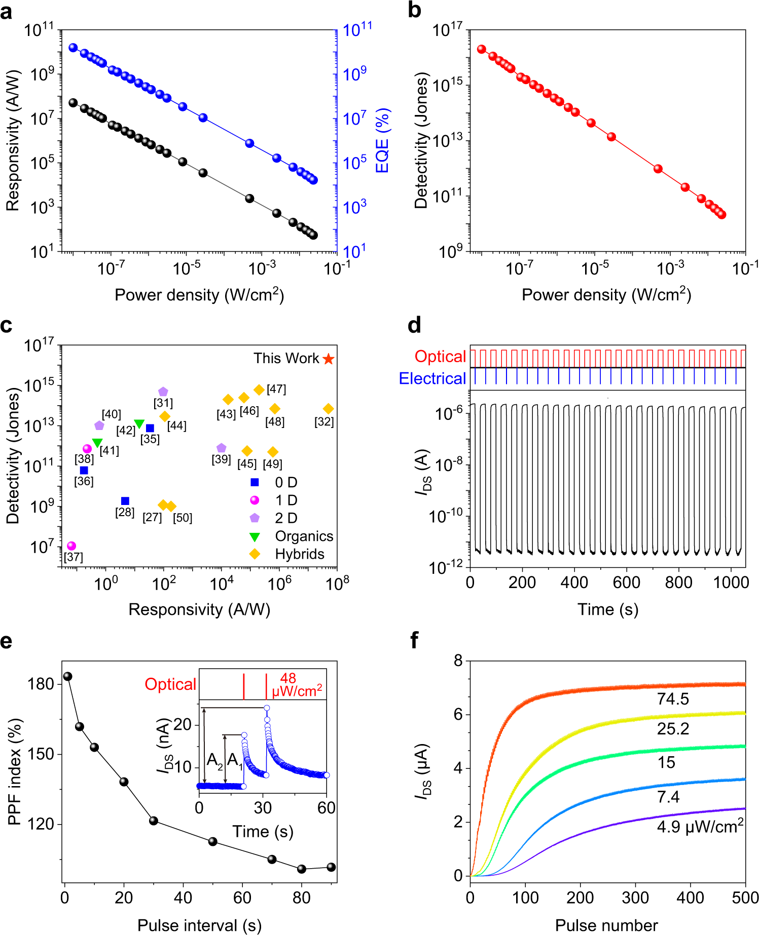
a Dependence of the responsivity (R) and the external quantum efficiency (EQE) on the lighting power density (P). \(R = I_{{\mathrm{ph}}}/P\left( {L_{{\mathrm{ch}}} \times W_{{\mathrm{ch}}}} \right)\), where Iph is the photocurrent, Lch and Wch are, respectively, the channel length (20 μm) and channel width (100 μm). \({\mathrm{EQE}} = hcR/e\lambda\), where h is the Planck constant, c the speed of light, and e the electron charge. λ = 405 nm. b Dependence of the specific detectivity (D*) on the P. \(D^\ast = R\left( {L_{{\mathrm{ch}}} \times W_{{\mathrm{ch}}}} \right)^{1/2}/\left( {S_{\mathrm{n}}} \right)^{1/2}\), where Sn is the noise power density (Supplementary Fig. 16). c Benchmark of the device performance demonstrating an ultra-high detectivity among reported devices made using various materials and structures. d Switching characteristics of the device under a 516 nm light with a P of 0.78 W/cm2 and a reset voltage pulse (+5 to 0 V, pulse width 100 ms) to the gate electrode. VDS = 1 V, VGS = 5 V. e PPF index decreases gradually when the pulse interval increases. Inset: PPF achieved by two successively applied optical pulses (48 μW/cm2, pulse width 20 ms, pulse interval 10 s). f Long-term potentiation with 500 optical pulses (pulse width, 20 ms; pulse interval, 500 ms) at various lighting power densities.