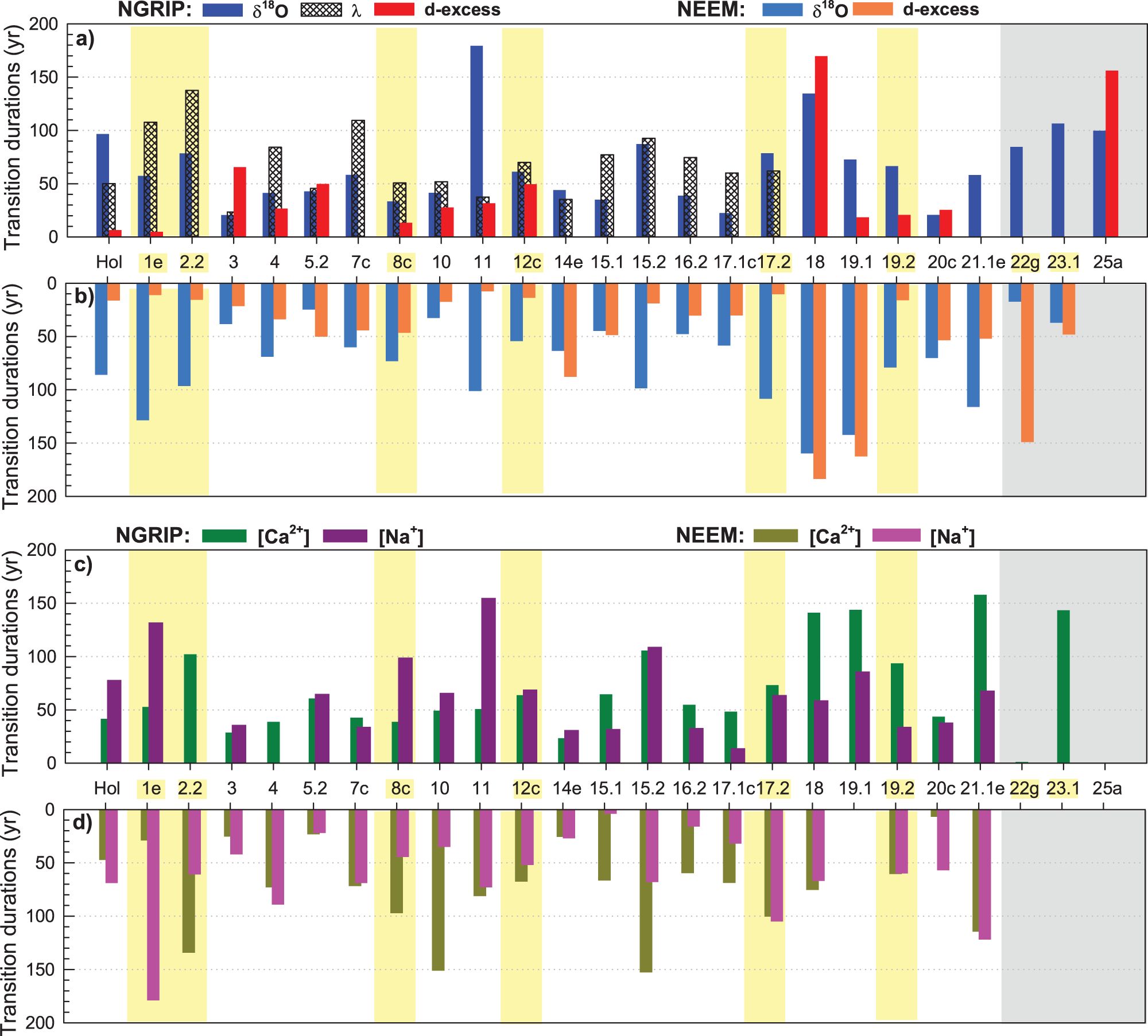
Fig. 4: Duration estimates of the δ18O, d-excess, [Ca2+], [Na2+], and annual-layer thickness (λ) transitions into each GI. | Nature Communications

Fig. 4: Duration estimates of the δ18O, d-excess, [Ca2+], [Na2+], and annual-layer thickness (λ) transitions into each GI.

From: The anatomy of past abrupt warmings recorded in Greenland ice

Fig. 4: Duration estimates of the δ18O, d-excess, [Ca2+], [Na2+], and annual-layer thickness (λ) transitions into each GI.

Duration estimates inferred from (a) NGRIP data sets and (b) NEEM data sets. Transitions highlighted in yellow are preceded by a stadial containing a Heinrich event. Gray shading indicates the section at the bottom of the two cores where duration data should be interpreted with caution owing to marginal data resolution. Uncertainty intervals in the transition duration range from 2 to 262 yr with a mean of 86 yr (they are omitted here for clarity purposes but are shown in Supplementary Figure 4 and tabulated in Supplementary Data 4).

Back to article page