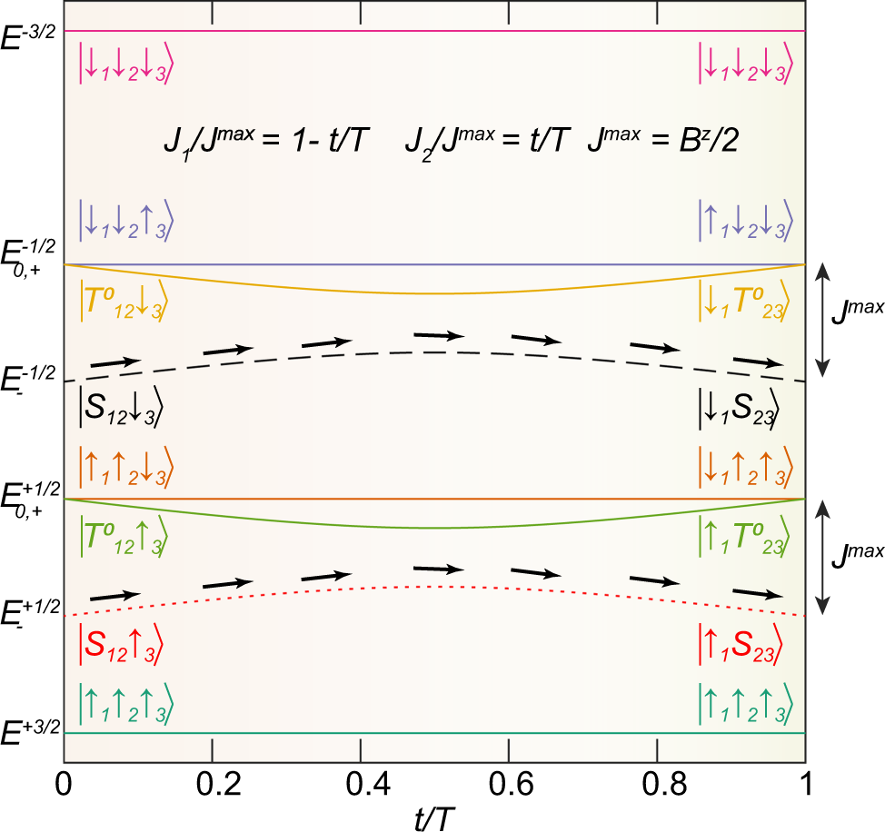
Fig. 2: Eigenstates of the time-dependent three-spin Heisenberg Hamiltonian with [J1(t), J2(t)] = Jmax [1 − t/T, t/T] for 0 < t < T. | Nature Communications

Fig. 2: Eigenstates of the time-dependent three-spin Heisenberg Hamiltonian with [J1(t), J2(t)] = Jmax [1 − t/T, t/T] for 0 < t < T.

From: Adiabatic quantum state transfer in a semiconductor quantum-dot spin chain

Fig. 2: Eigenstates of the time-dependent three-spin Heisenberg Hamiltonian with [J1(t), J2(t)] = Jmax [1 − t/T, t/T] for 0 < t < T.

Bz is the uniform magnetic field. The eigenstates at the initial and final times are labeled. Adiabatic state transfer can occur by initializing the system in either the \({E}_{-}^{+1/2}\) or \({E}_{-}^{-1/2}\) states. Here, the superscript is z-component of the spin angular momentum (Sz), and subscripts denote different eigenstates within a particular Sz subspace.

Back to article page