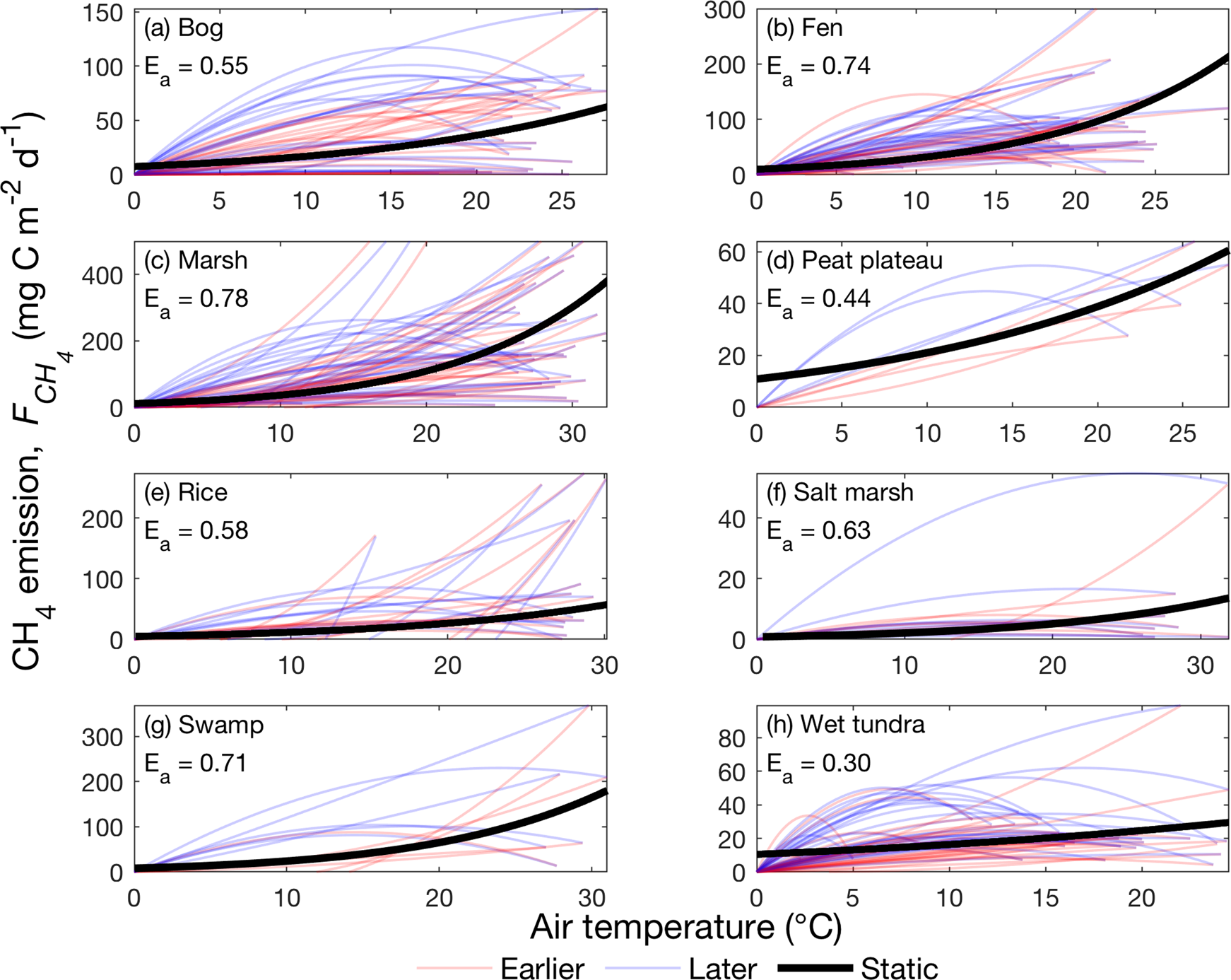
Fig. 3: Large differences in intra-seasonal, inter-annual, and inter-site \({F_{{CH}_{4}}}\) emergent temperature dependencies are found for all examined ecosystem types.
From: Substantial hysteresis in emergent temperature sensitivity of global wetland CH4 emissions

Thin lines represent the site- and time-specific emergent dependencies of CH4 emissions on air temperature inferred from daily measurements collected at bog (a), fen (b), marsh (c), peat plateau (d), rice paddy (e), salt marsh (f), swamp (g), and wet tundra (h) sites. Thick black lines represent ecosystem-type specific emergent dependencies of CH4 emission on air temperature inferred from the Boltzmann–Arrhenius function that do not recognize spatial heterogeneity and temporal variability. The results inferred from earlier and later parts of the frost-free season, and full frost-free season are colored in red, blue, and black, respectively.