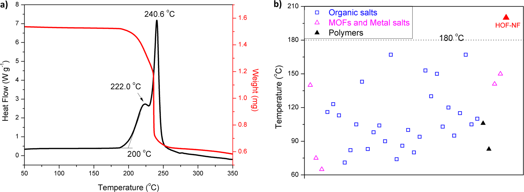
Fig. 4: Thermostability of HOF-NF and the distribution of decomposition temperatures for all NF-based compounds.
From: Taming nitroformate through encapsulation with nitrogen-rich hydrogen-bonded organic frameworks

a Thermal behavior (TG-DSC) of HOFs-NF; b The decomposition temperatures of reported NF-based compounds.