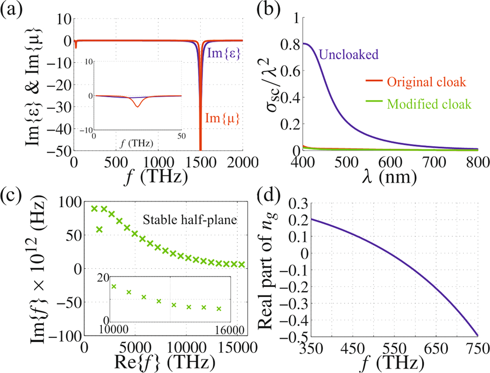
Fig. 1: Broadband, stable, causal, fast-light aided invisibility cloaking of electrically small objects.
From: Reply to ‘Physical limitations on broadband invisibility based on fast-light media’

a Imaginary parts of the (relative) permittivity, ε, and permeability, μ, versus frequency of the gain doublet cloaking medium. The inset shows the same graph focused around the first resonance. b Scattering-cross-section performance across the visible regime of the cloak of ref. 2 (red line) and of the cloak with the parameters of a (green line). c Poles of the electric dipolar scattering coefficient on the complex plane, for frequencies up to ~16,000 THz. All poles lie on the upper (stable) half-plane, and the last pole that is technically possible to identify reliably4,5,6 is well above zero {Im{fi} ~ 5,84×1012}. The inset shows the same graph but focused around the end of the curve. d Group refractive index in the cloaking layer of a, showing that the group velocity in this medium is superluminal (0 < ng < 1), or even negative (ng < 0), in the visible band targeted for invisibility in, both, ref. 2 and herein.