Fig. 4: Surface analysis of different catalysts.
From: Ternary nickel–tungsten–copper alloy rivals platinum for catalyzing alkaline hydrogen oxidation

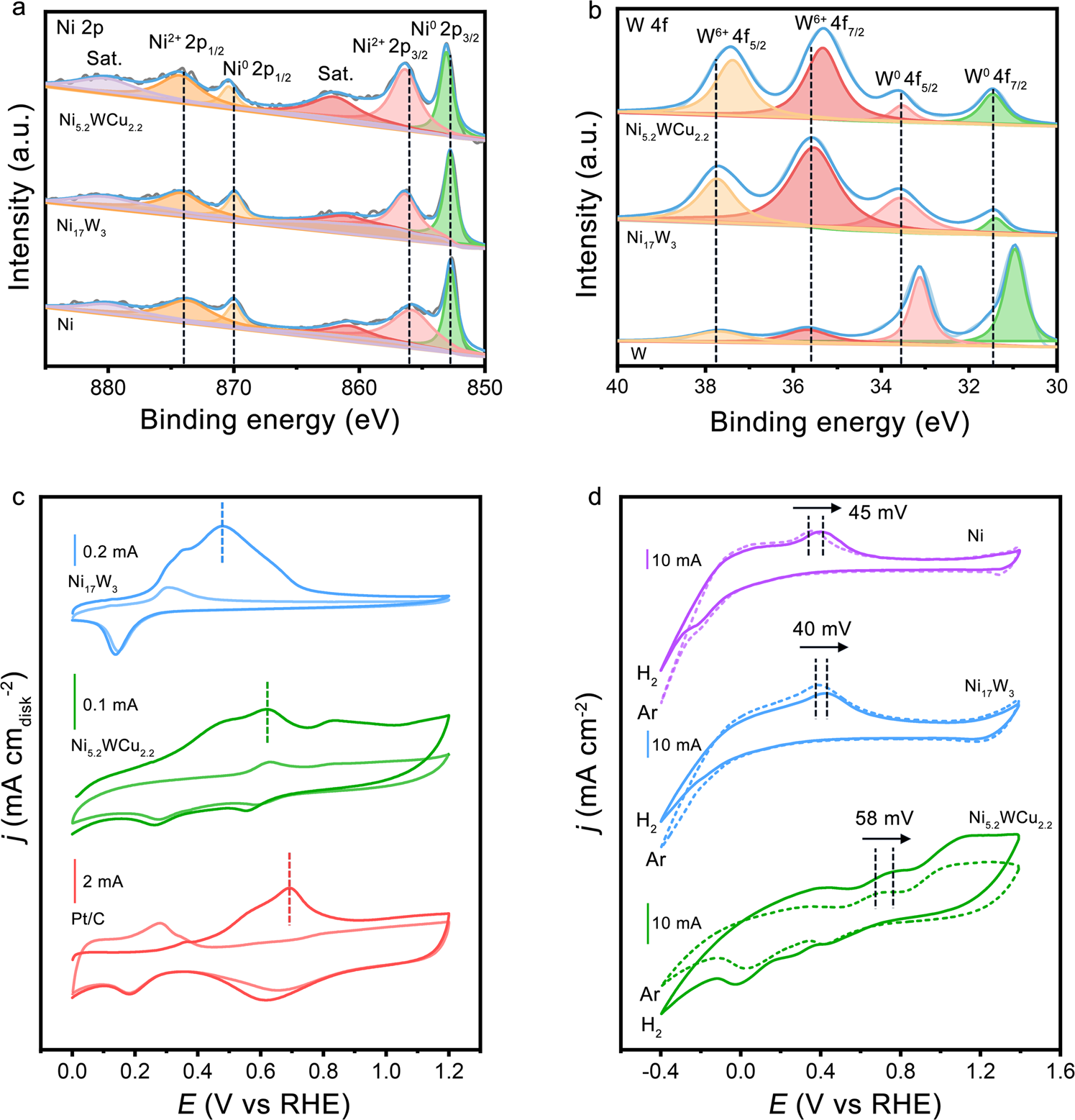
a Ni 2p XPS spectra of Ni5.2WCu2.2, Ni17W3, and Ni. b W 4 f XPS spectra of Ni5.2WCu2.2, Ni17W3, and W. c CO-stripping measurements on Ni5.2WCu2.2, Ni17W3, and Pt/C catalyst in 0.1 M KOH electrolyte. Scan rate: 20 mV s−1. Rotation speed: 1600 r.p.m. The light-colored curves in c show the second cycle of the measurements. d CV curves of Ni5.2WCu2.2, Ni17W3, and Ni in H2- and Ar-saturated 0.1 M KOH, respectively. Scan rate: 50 mV s−1.