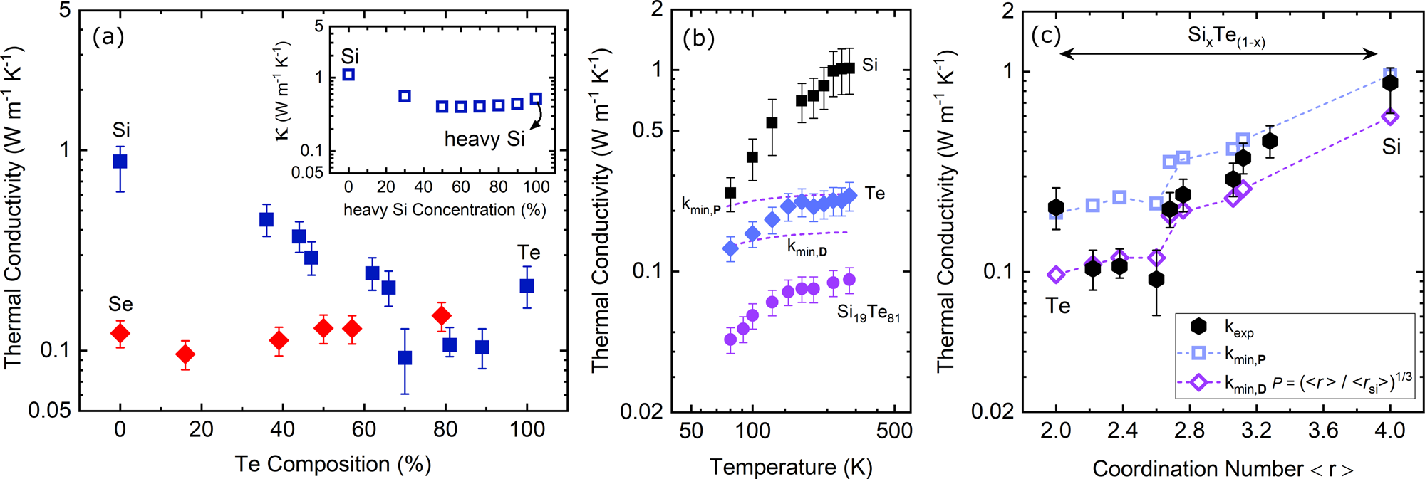
Fig. 2: Thermal conductivity experimental results and the corresponding models.

a The measured thermal conductivity as a function of tellurium concentration in amorphous SiTe (solid squares) and SeTe (solid diamonds). The inset shows the NEMD simulation results for thermal conductivity of Si (28 u), heavy-Si (127 u), and their alloy. b Thermal conductivity of amorphous silicon (solid squares), tellurium (solid diamonds), Si19Te81 (solid circles), and minimum limit models for Si19Te81 (dashed line) as a function of temperature. c Thermal conductivity of SiTe as a function of coordination number measured by TDTR (solid hexagons), their corresponding phonon-mediated (hollow squares), and the diffuson-mediated (hollow diamonds) minimum limit approximations. Uncertainties are calculated based on 10% variations in the thickness of SiTe films.