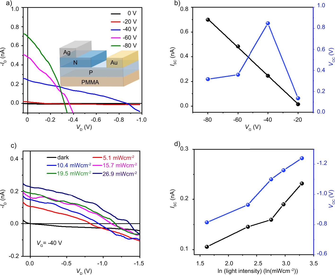
Fig. 4: Photovoltaic performance of bimolecular layer NDI (n type)-C6DPA (p type) heterojunction devices.
From: Sub-5 nm single crystalline organic p–n heterojunctions

a Current–voltage characteristics of the device with different gate voltages under the white light illumination (26.9 mW cm−2). Insert: the structure diagram of the organic photovoltaic (OPV) device. c Current–voltage characteristics of the device with different light intensities at VG = −40 V. The dependence of short circuit current (Isc) and open circuit voltage (Voc) on gate voltage (b) and light intensity (d).