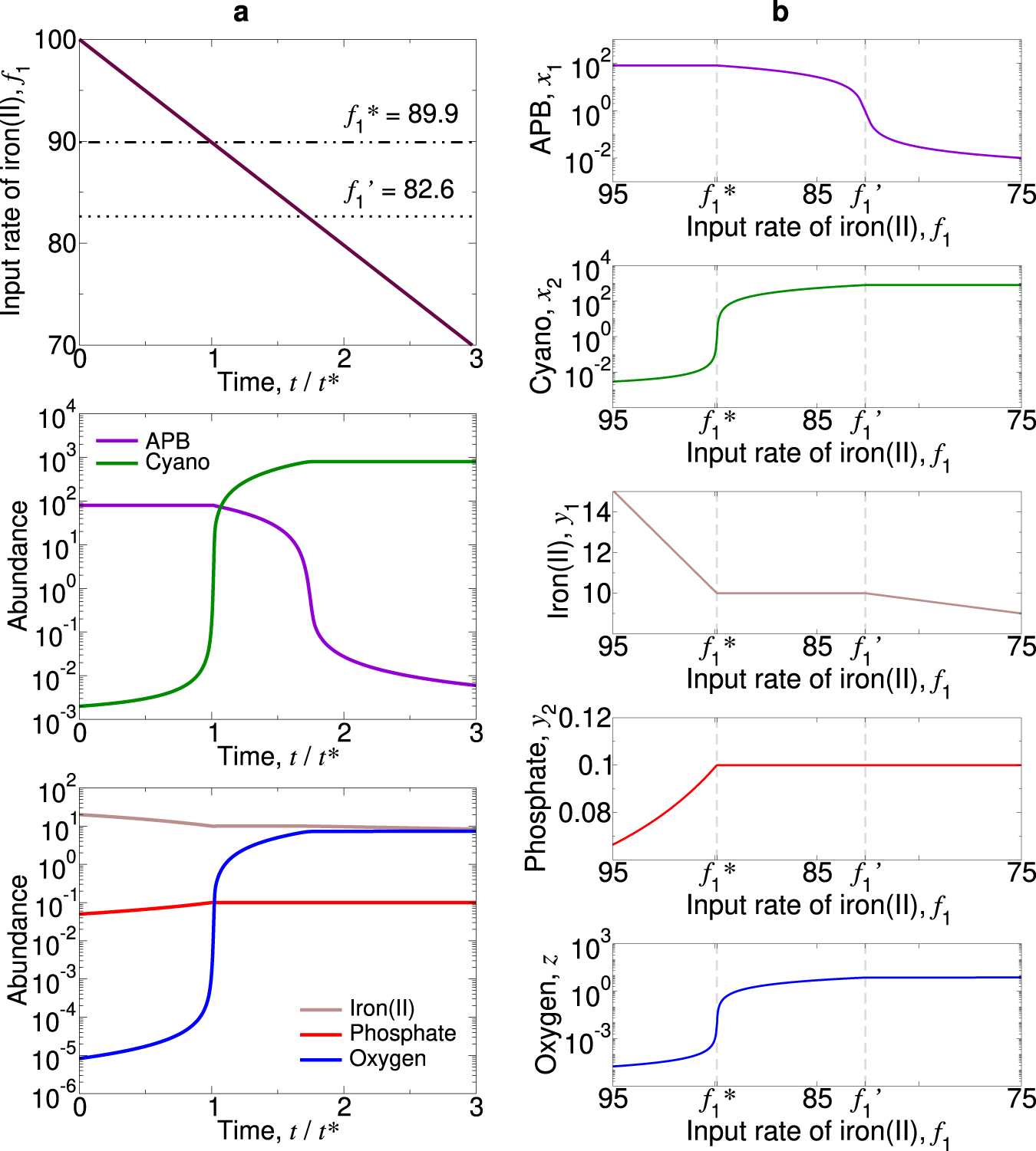
Fig. 3: The GOE can be triggered by a decline in the influx of iron(II) and is gradual if b > c(a − 1).
From: The Great Oxygenation Event as a consequence of ecological dynamics modulated by planetary change

Equilibrium E1 (APB dominate) loses stability and Equilibrium E2 (cyanobacteria dominate) gains stability when f1 drops below \({f}_{1}^{* }\) and \(f_1^{\prime}\), respectively. We set f2 = 80, c = 10, a = 10, b = 100, and u1 = u2 = 10−3. a We simulate Eqs. (8) from Supplementary Note 1 with α1 = α2 = β1 = β2 = 1, and we set f1 = 100 − 40(t/105). t* denotes the time at which Equilibrium E1 loses stability. b There is stable coexistence of both types of bacteria for \(f_1^{\prime} \,<\,{f}_{1}\,<\,{f}_{1}^{* }\).