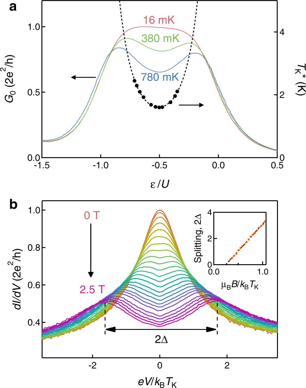
Fig. 2: Energy level and magnetic-field dependence of the Kondo state.
From: Three-body correlations in nonlinear response of correlated quantum liquid

a ε/U dependence of G0 for three temperatures (16, 380, and 780mK). The experimental \({T}_{{\rm{K}}}^{* }\) shown on the right axis is fitted with the formula shown in ref. 35. b Differential conductance at the PHS point as a function of eV/kBTK for different magnetic fields from 0 to 2.5T with 0.1T steps. Here, the lowest field 0.1T is defined as 0T (see text). (inset) 2Δ, which is the width of Zeeman splitting, as a function of μBB/kBTK.