Correction to: Nature Communications https://doi.org/10.1038/s41467-021-22265-2, published online 6 April 2021.
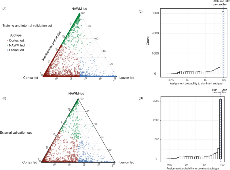
The original version of this Article contained an error in Fig. 2, in which the plot shown in panel c was inadvertently duplicated in panel d. The correct version of Fig. 2 is:

which replaces the previous incorrect version:

Author information
Authors and Affiliations
Corresponding author
Rights and permissions
Open Access This article is licensed under a Creative Commons Attribution 4.0 International License, which permits use, sharing, adaptation, distribution and reproduction in any medium or format, as long as you give appropriate credit to the original author(s) and the source, provide a link to the Creative Commons license, and indicate if changes were made. The images or other third party material in this article are included in the article’s Creative Commons license, unless indicated otherwise in a credit line to the material. If material is not included in the article’s Creative Commons license and your intended use is not permitted by statutory regulation or exceeds the permitted use, you will need to obtain permission directly from the copyright holder. To view a copy of this license, visit http://creativecommons.org/licenses/by/4.0/.
About this article
Cite this article
Eshaghi, A., Young, A.L., Wijeratne, P.A. et al. Author Correction: Identifying multiple sclerosis subtypes using unsupervised machine learning and MRI data. Nat Commun 12, 3169 (2021). https://doi.org/10.1038/s41467-021-23538-6
Published:
Version of record:
DOI: https://doi.org/10.1038/s41467-021-23538-6