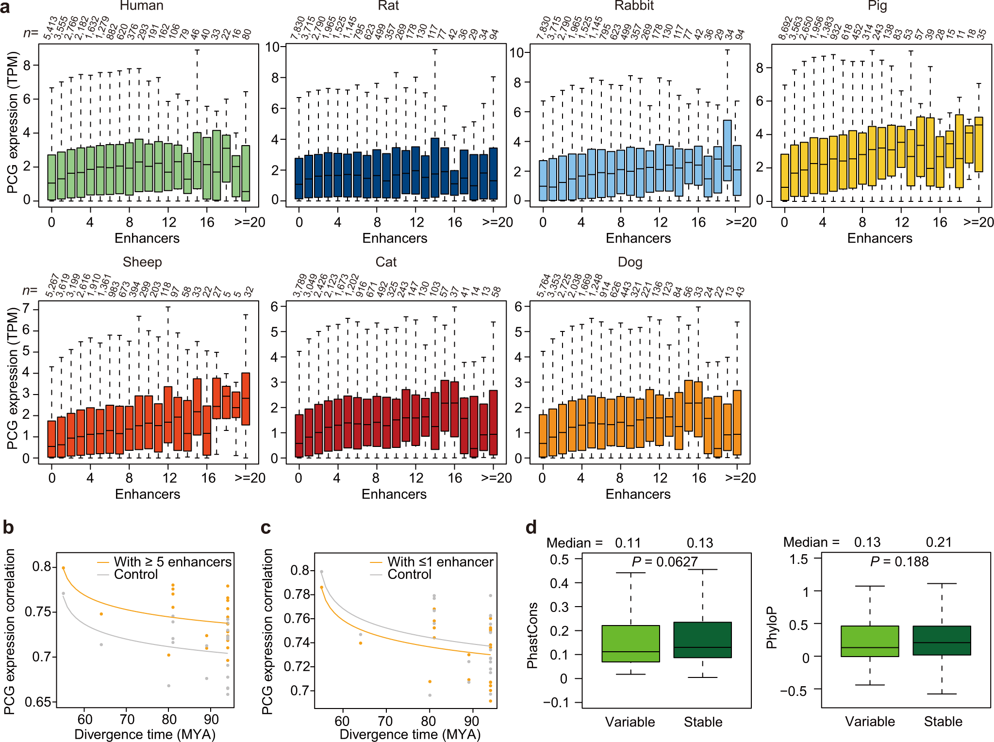
Fig. 7: The number of enhancers drives the stability of PCG transcription across the mammalian phylogeny.

a Box plots showing distributions of PCG transcription associated with increasing numbers of enhancers in SAT in each mammalian species. Enhancers associated with a PCG have an additive effect on transcript levels. In the boxplot, the internal line indicates the median, the box limits indicate the upper and lower quartiles and the whiskers extend to 1.5 IQR from the quartiles. The numerical value above each bar indicates the number (n) of genes. b, c The number of associated/interacting enhancers contributes to the evolutionary stability (b) or viability (c) of PCG transcription. Pairwise Spearman’s correlation coefficients of transcription levels between species were plotted against the evolutionary distance of PCGs associated with multiple (≥5) enhancers (1557 PCGs) and compared with control PCG sets that have only one or fewer enhancers (enhancers ≤1) but a matched transcription level (b). For contrast, plots using the same analysis but showing PCGs associated with only one or fewer enhancers (1552 PCGs) compared with control PCG sets with multiple enhancers (c). The number of associated/interacting enhancers corresponds to the median number across species. The lines correspond to linear regression trends (after log transformation of the time axis). MYA: million years ago. d PCGs with either stable or variable transcription are largely similar in nucleotide sequence conservation (phastCons value [left panel] and phyloP value [right panel]). Stable PCGs: n = 245; variable PCGs: n = 245. (two-sided Wilcoxon rank sum test, Bonferroni-corrected P). In the boxplot, the internal line indicates the median, the box limits indicate the upper and lower quartiles and the whiskers extend to 1.5 IQR from the quartiles. Source data are provided as a Source Data file.