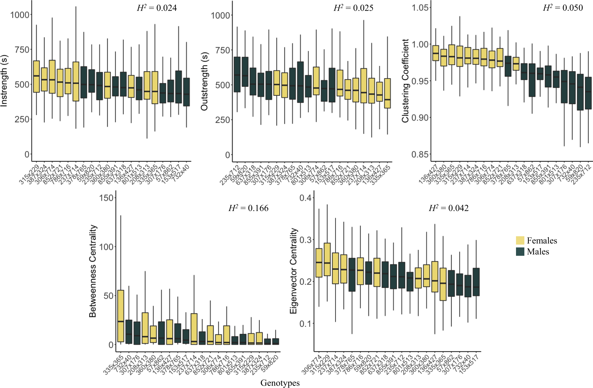
Fig. 1: Genotypic effects on network position.
From: Selection on heritable social network positions is context-dependent in Drosophila melanogaster

Twenty heterozygous Drosophila melanogaster genotypes significantly differed in five commonly studied measures of social network position (all LRT, PR < 0.05). Broad-sense heritability estimates (H2) for each network position are presented in each panel. Boxplots present the medians (horizontal lines), interquartile ranges (boxes), and values within ± 1.5x IQR (whiskers) for each genotype (n for each genotype = 56). Genotypes are ordered in each panel by their median value for each network position. Genotype labels are presented as the maternal parent genotype number, crossed with (“x”) the paternal genotype number. Genotype numbers are arbitrary and unindicative of any similarities/differences between genotypes. The sex of each genotype is indicated by the color-fill of the boxplots (yellow = females, navy = males). Source data are provided as a Source Data file.