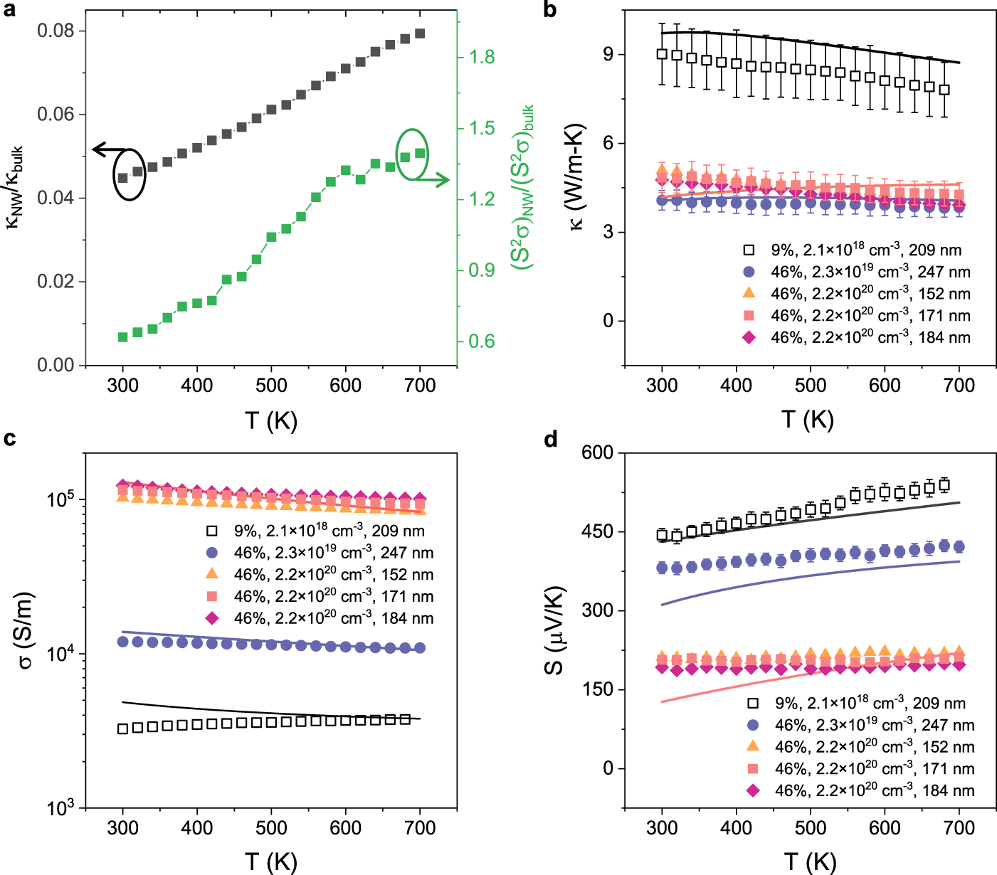
Fig. 3: Theoretical modeling on thermoelectric properties of porous SiNWs.
From: High thermoelectric figure of merit of porous Si nanowires from 300 to 700 K

a Black square represents the ratio of porous SiNW κ (ϕ = 46% and p = 2.2 × 1020 cm−3, 171 nm) to that of optimally doped bulk Si (8.1 × 1019 cm−3 boron-doped)36 as a function of temperature. Green squares show the ratio of power factor of porous SiNW (ϕ = 46% and p = 2.2 × 1020 cm−3, 171 nm) to that of the optimally doped bulk Si (8.1 × 1019 cm−3 boron-doped)36. b–d Comparison between the measured temperature-dependent (b) κ, (c) σ, and (d) S with modeled results considering the effects of pore boundary scattering. Note that in panel b for the ϕ = 46% and p = 2.2 × 1020 cm−3 sample, charge carriers make a non-negligible contribution to thermal transport, and the modeled κ is the sum of the calculated lattice thermal conductivity and electronic thermal conductivity, κe, estimated using the Wiedemann–Franz law. The error bars in κ represent uncertainties calculated based on measurement errors in thermal conductance, porosity, nanowire length and cross-section. The error bars in σ represent uncertainties calculated based on measurement errors in electrical resistance, porosity, nanowire length and cross-section, and the magnitude of the error bars are smaller than the symbol size for σ. The error bars in S are determined as the standard deviation from linear least square fitting (see Supplementary Note 5).