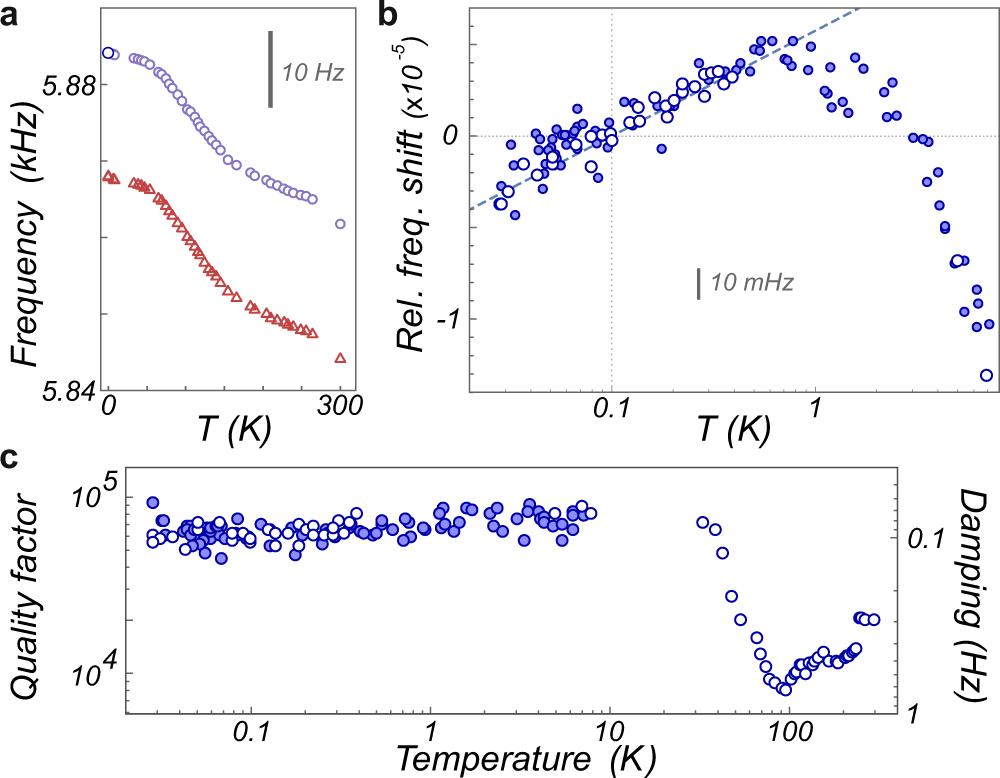
Fig. 4: Mechanical properties.
From: Ultrasensitive nano-optomechanical force sensor operated at dilution temperatures

a Temperature dependence of the eigenfrequencies of the 5.8 kHz nanowire (B). b, c Evolution of the relative frequency shifts and mechanical damping rates (mode 2) below 10 K. The open circles are obtained at minimal optical powers (sub pW), while varying the cryostat temperature. The full disks represent the frequency shifts and damping rates measured for increasing optical powers (from 100 fW to 10 nW, cryostat set at 20 mK), as a function of the measured effective noise temperature (after subtraction of a 30 mK of artificial noise contribution). The dashed line in (b) corresponds to \({{\Delta }}{f}_{2}/{f}_{2}\,=\,2.5\,\times\, 1{0}^{-6}{\mathrm{ln}}\,(T/100\,{\rm{mK}})\).