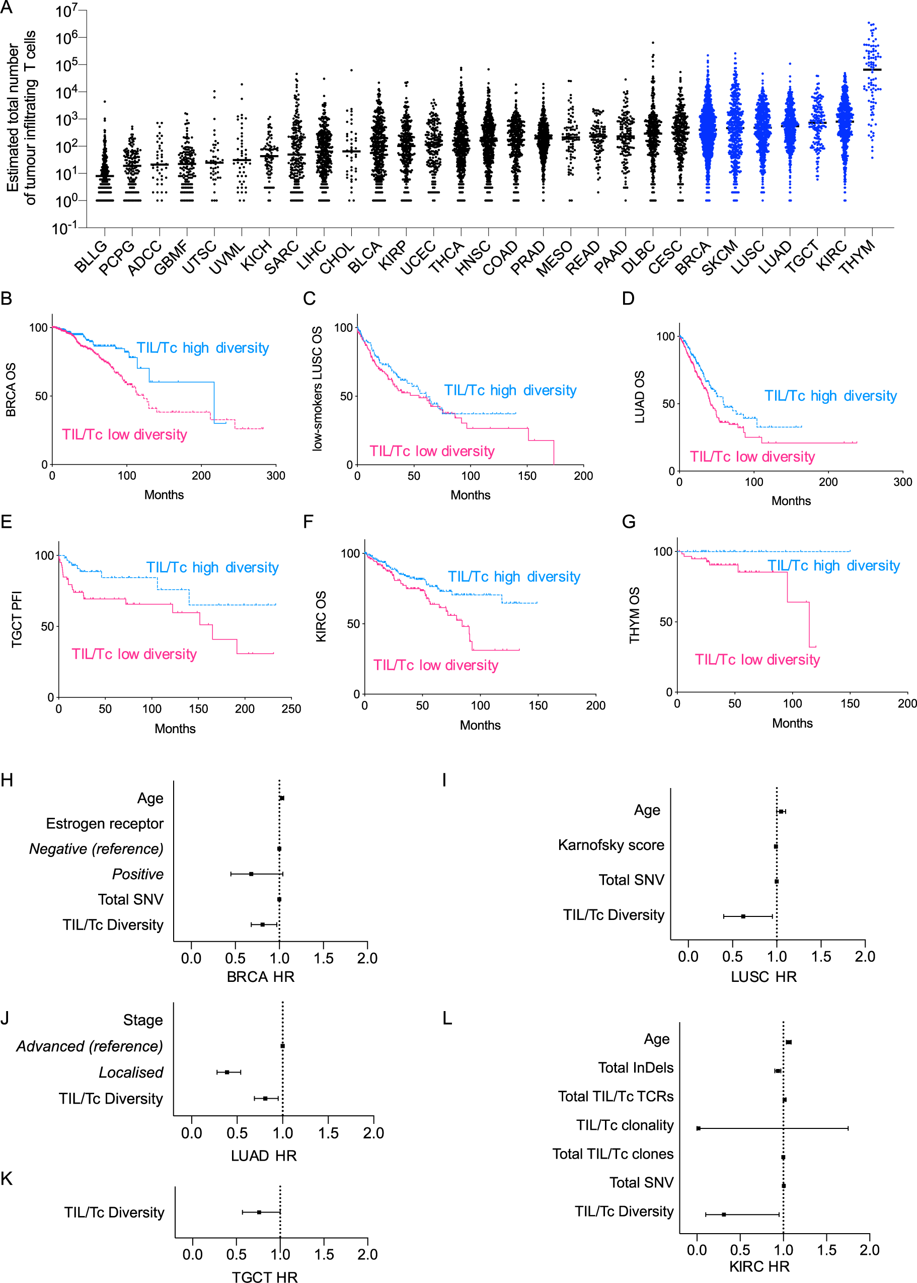
Fig. 3: TIL/Tc TCR diversity is prognostic across several cancer histotypes.

A–L Analyses of the TCGA cancer cohorts. A Estimated total number of tumor-infiltrating T cells (TIL/Tc) in the cancer cohorts; the cohorts above the upper quartile of TIL/Tc are highlighted in blue; B–G survival curves for the cancer cohorts with abundant TIL/Tc from A of patients with high (blue) or low (pink) TIL diversity: B BRCA (n = 908, cut-off = 3.34, OS log-rank P = 0.0029), C LUSC patients with cigarette use < median (n = 238, cut-off = 3.17, OS log-rank P = 0.2849), D LUAD (n = 481, cut-off = 3.53, OS log-rank P = 0.0204), E TGCT (n = 148, cut-off = 3.29, DFI log-rank P = 0.0124), F KIRK (n = 322, cut-off = 3.26, OS log-rank P = 0.0088), G THYM (n = 92, cut-off = 5.93, OS log-rank P = 0.0306); H–L forest plots showing the HR and 95% CI for the significant covariates retained in the multivariate Cox regression prognostic model calculated using the fast-backward method and the Akaike Information Criterion as a stopping rule for the cancer cohorts with abundant TIL/Tc from A; TIL/Tc metrics were analyzed as continuous variables: H BRCA (events = 113, model for OS global P < 0.001, concordance index = 0.66), I LUSC patients with cigarette use < median (events = 31, model for OS global P = 0.0096, concordance index = 0.69), J LUAD (events = 166, model for OS global P < 0.001, concordance index = 0.63), K TGCT (events = 31, model for PFS P = 0.0637, concordance index = 0.63), L KIRK (events = 53, model for OS global P < 0.001, concordance index = 0.74). Analyses are two-sided and TIL/Tc diversity is retained as continuous variable in the regression analyses; n is single patient, OS is overall survival, DFI is disease-free-interval, PFS is progression-free survival, HR is hazard ratio, CI is confidence interval. (BLLG brain lower grade glioma, n = 289; PCPG pheochromocytoma and paraganglioma, n = 142; ADCC adrenocortical carcinoma, n = 40; GBMF glioblastoma multiforme, n = 140; UTSC uterine carcinosarcoma, n = 45; UVML uveal melanoma, n = 47; KICH kidney chromophobe, n = 82; SARC sarcoma, n = 218; LIHC liver hepatocellular carcinoma, n = 383; CHOL cholangiocarcinoma, n = 42; BLCA bladder urothelial carcinoma, n = 380; KIRP kidney renal papillary cell carcinoma, n = 295; UCEC uterine corpus endometrial carcinoma, n = 184; THCA thyroid carcinoma, n = 518; HNSC head and neck squamous cell carcinoma, n = 524; COAD colon adenocarcinoma, n = 325; PRAD prostate adenocarcinoma, n = 536; MESO mesothelioma, n = 83; READ rectum adenocarcinoma, n = 100; PAAD pancreatic adenocarcinoma, n = 145; DLBC diffuse large B cell lymphoma, n = 331; CESC cervical squamous cell carcinoma and endocervical adenocarcinoma, n = 296; BRCA breast carcinoma, n = 1160; SKCM skin cutaneous melanoma, n = 426; LUSC lung squamous carcinoma, n = 528; LUAD lung adenocarcinoma, n = 585; TGCT testicular germinal cell tumors, n = 153; KIRC kidney renal clear cell carcinoma, n = 597; THYM thymoma, n = 93). Source data are provided as a Source data file.