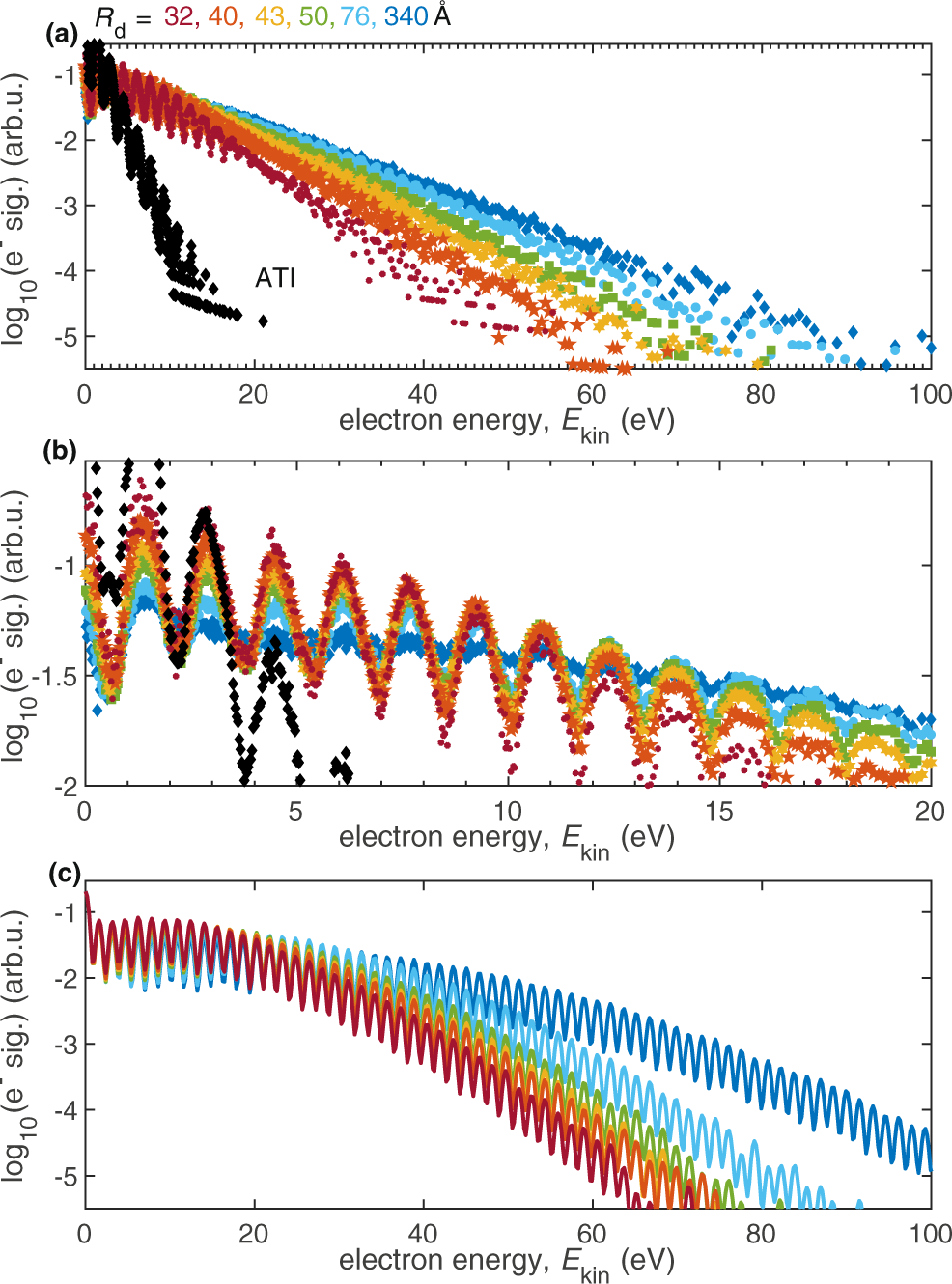
Fig. 2: Dependence of LAES spectra on the droplet size, for droplet radii between Rd = 32 Å and Rd = 340 Å (Rd values are calculated from the mean values of the droplet size distributions30).
From: Observation of laser-assisted electron scattering in superfluid helium

a The experimental spectra are obtained with In atoms at I = 1.1 ⋅ 1013 Wcm−2 and show a pronounced increase of the LAES energy gain with He shell thickness. In addition, the gas-phase ATI spectrum is shown for comparison. The abrupt increase of the droplet radius to Rd = 340 Å for the lowest droplet source temperature (T0 = 10 K) is due to the changing character of the supersonic expansion from sub- to supercritical in this temperature regime30. b Close-up of the low-energy region of (a). c Simulated LAES spectra for different droplet sizes, under the same conditions as in (a). The spectra are area normalized.