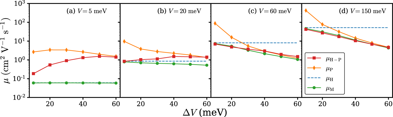
Fig. 3: Carrier mobility at 300 K calculated based on the Holstein–Peierls model (μH-P), Holstein model (μH), Peierls model (μP), and Matthiessen’s rule (μM) with enlarged local EPC at various transfer integral V and transfer integral fluctuation ΔV.

From a–d the transfer integrals are 5, 20, 60, and 150 meV respectively.