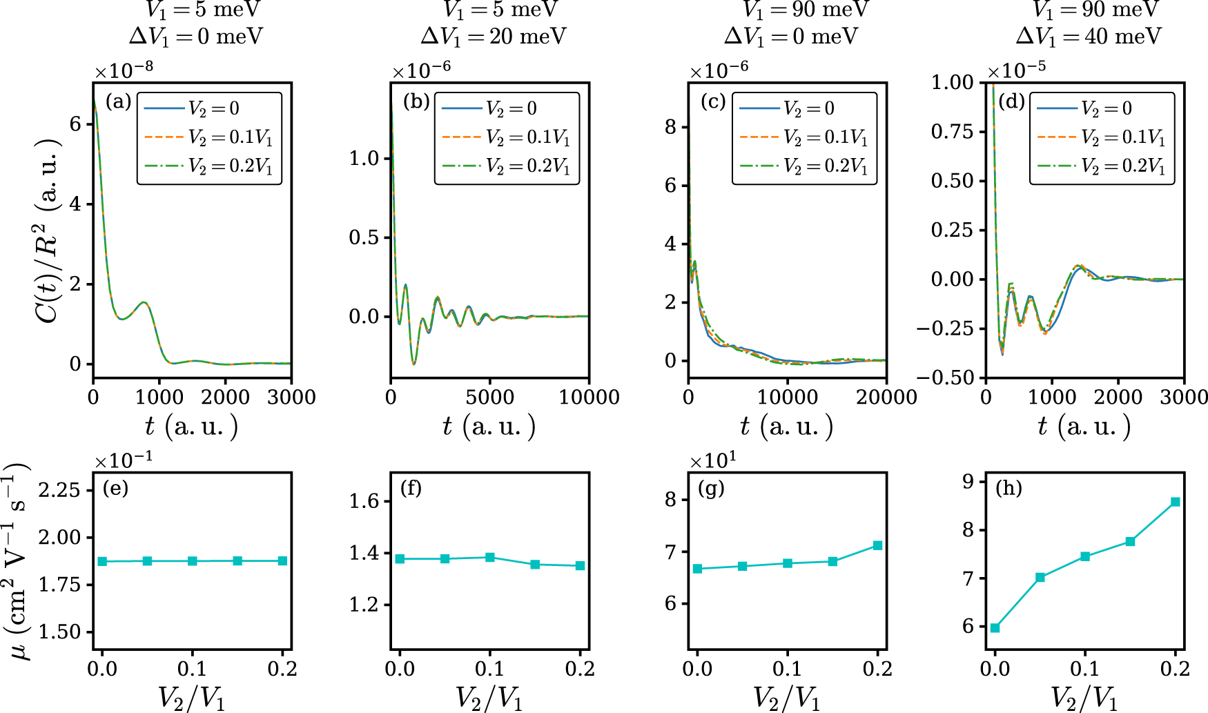
Fig. 6: The isotropy effect for several typical values of V1 and ΔV1.

a–d are the correlation functions C(t) and e–h are the corresponding mobilities μ. For a and e, V1 = 5 meV and ΔV1 = 0 meV; For b and f, V1 = 5 meV and ΔV1 = 20 meV; For c and g, V1 = 90 meV and ΔV1 = 0 meV; For d and h, V1 = 90 meV and ΔV1 = 40 meV.