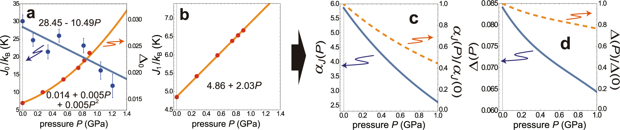
Fig. 5: Pressure dependence of the coupling parameters in CsCuCl3.

a The estimated values of the intrachain coupling constant J0 and the anisotropy parameter Δ0. b The estimated values of the intrerchain coupling constant J1. The error bars reflect six standard deviations for J0 and are smaller than the symbol size in the min-max values for Δ0 and J1. The model functions for each quantity, J0(P), Δ0(P), and J1(P), are shown by the solid curves. c, d The ratio of the intrachain to interchain coupling, αJ(P) = J0(P)/J1(P), and the rescaled anisotropy parameter Δ(P) = αJ(P)Δ0(P). The reduction rate from the value at P = 0 is plotted for each with the dashed curves.