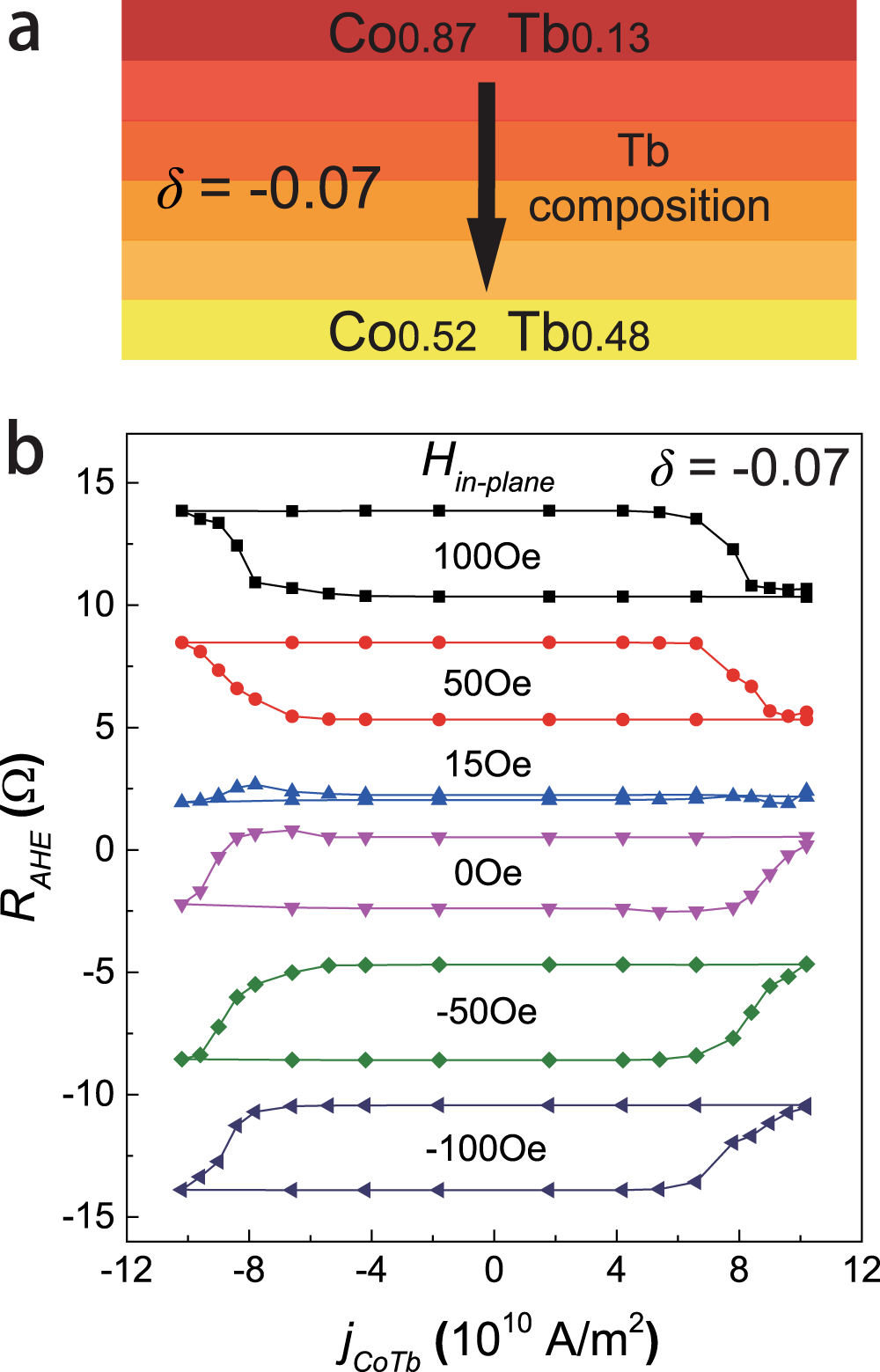
Fig. 4: Comparison experiments on a CoTb sample with inverse gradient.

a Structure of the sample with δ = −0.07. b SOT switching curves of the sample (δ = −0.07) under different in-plane magnetic fields (including zero-field). This sample shows opposite switching polarity as well as an opposite DMI-induced field compared to the sample in Fig. 3b (δ = 0.07), verifying the vertical gradient-induced origin of SOT and DMI in our samples.