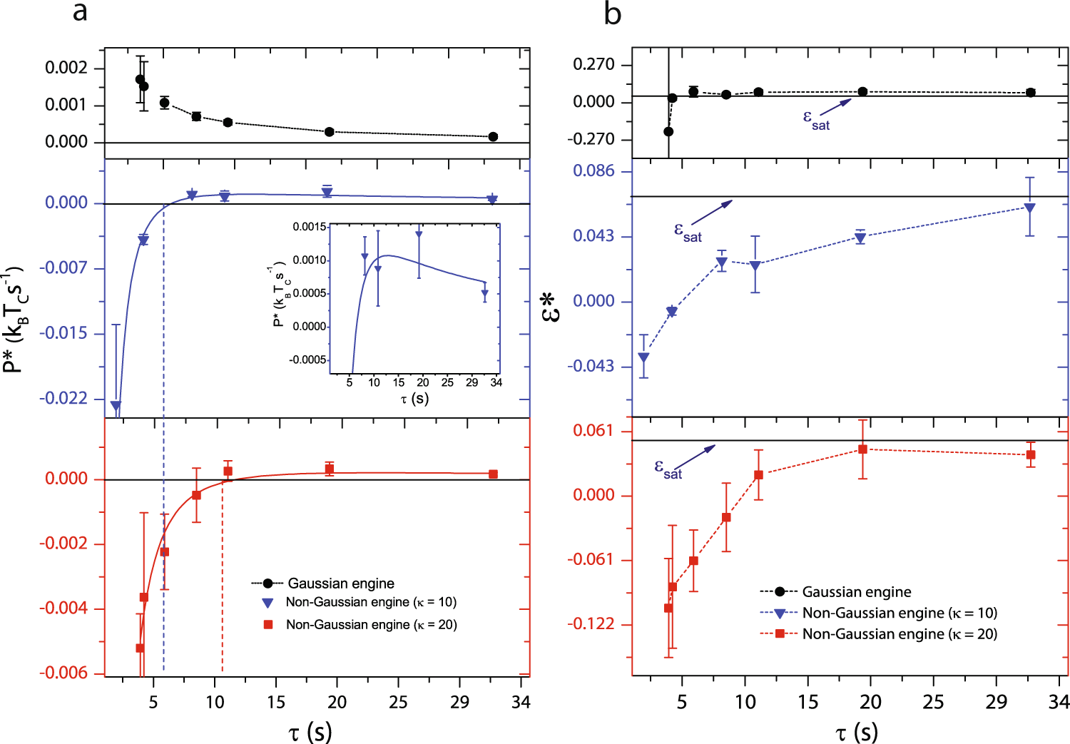
Fig. 3: Quantifying the performance of the non-Gaussian Stirling engine.
From: Tuning the performance of a micrometer-sized Stirling engine through reservoir engineering

a The most probable power P* with τ. Black circles represent P* for the Gaussian engine, blue triangles represent P* for the non-Gaussian engine with κ = 10 at the hot reservoir and red squares represent P* for the non-Gaussian engine with κ = 20 at the hot reservoir. With decreasing τ, P* increases considerably (inset) for the non-Gaussian engine with κ = 10 at the hot reservoir and rapidly falls off for τ ≤ 8 s. For the non-Gaussian engine with κ = 20 at the hot reservoir, the increase in P* is rather small and it decays for τ ≤ 10.6 s. The blue and red solid lines are calculated from the fit to Eq. (1) and are overlaid on the experimental data. The blue (red) vertical dashed line indicates the τ below which P* is negative for the non-Gaussian engine with κ = 10 (κ = 20) at the hot reservoir. b The most-probable efficiency ε* for various τ. Black circles represent ε* for the Gaussian engine, blue triangles represent ε* for the non-Gaussian engine with κ = 10 at the hot reservoir and red squares represent ε* for the non-Gaussian engine with κ = 20 at the hot reservoir. The blue solid lines indicate the theoretically calculated Stirling saturation, εSat. Efficiency \({\varepsilon }_{{{{{{{{\rm{Max}}}}}}}}}\) just before the rapid drop in power at τ = 8 s (τ = 10.6 s) of the non-Gaussian engine with κ = 10 (κ = 20) at the hot reservoir agrees with the Curzon–Ahlborn efficiency εCA. The error bars indicate the standard deviations of the mean and the most probable quantities across different experiments. Note that the black vertical line through the first data point (smallest τ) is a portion of a large error bar. The error bars at other τ values are smaller than the symbol size.