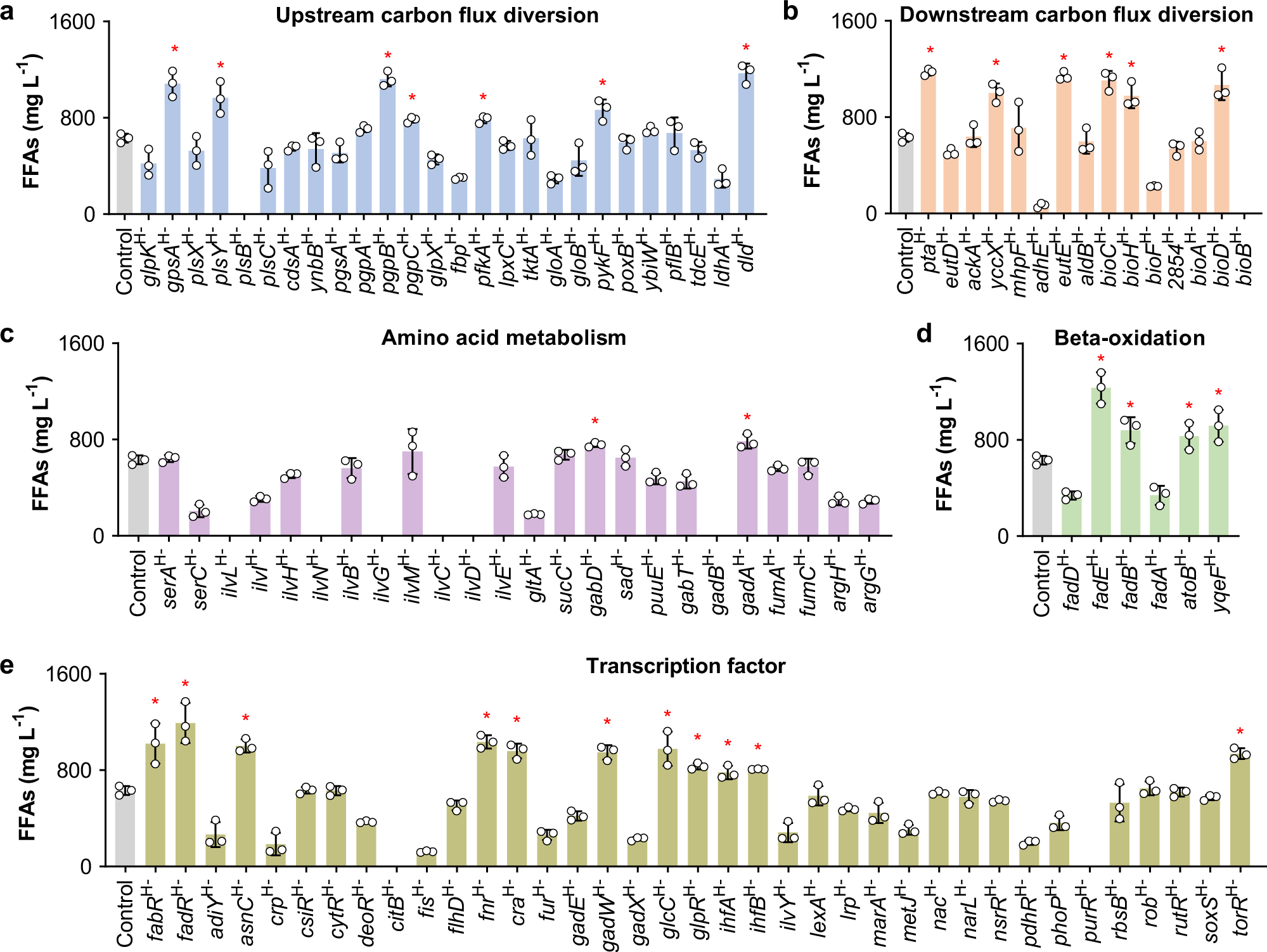
Fig. 2: CRISPRi-based identification of beneficial genes for FFAs production.
From: Genome-scale target identification in Escherichia coli for high-titer production of free fatty acids

All 108 genes in the upstream carbon flux diversion module (a), downstream carbon flux diversion module (b), amino acid metabolism module (c), beta-oxidation module (d), and transcription factor module (e) were repressed with high efficiency. Asterisk represents the strain in which the FFAs titer increased by over 20% compared with that in the Control strain (631 mg L−1), and the targeted genes are referred to as beneficial genes. The titers were obtained in batch cultivation of 30 g L−1 glycerol. Data are presented as mean ± SD (n = 3 biological replicates). Source data are provided as a Source Data file.