Fig. 4: Anomalous Hall effect (AHE) and topological Hall effect (THE) obtained from terahertz and transport measurements.
From: Magneto-optical spectroscopy on Weyl nodes for anomalous and topological Hall effects in chiral MnGe

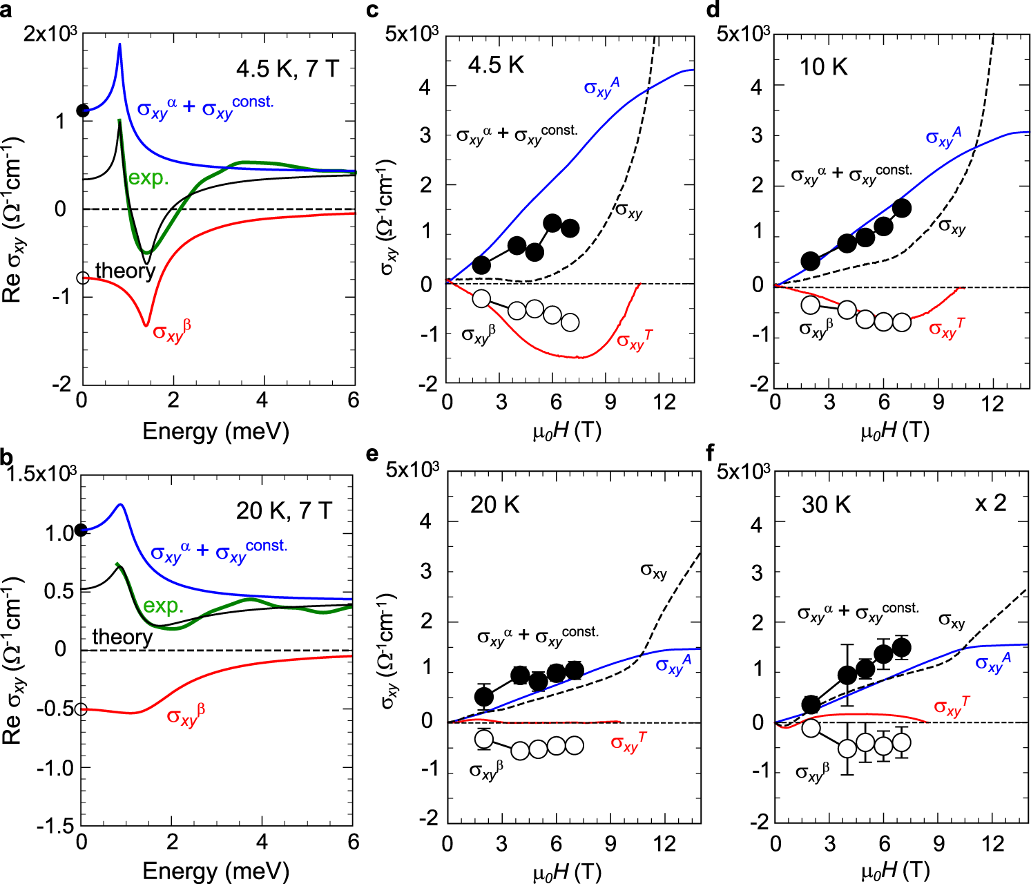
a, b The decomposition of the experimental spectra into two resonances corresponding to the AHE (blue) and THE (red) at (a) 4.5 K and (b) 20 K. The experimental and theoretical spectra are shown by green and black curves, respectively. These spectra for 4.5 K are multiplied by a factor of two. c–f The magnetic-field dependence of the AHE (Re{σxyα + σxyconst.}, filled circle) and THE (Re{σxyβ}, open circle) at ω = 0 obtained from the analysis for terahertz spectra; (c) 4.5 K, (d) 10 K, (e) 20 K, and (f) 30 K. The zero-frequency limit (ω = 0) of the AHE (σxyα + σxyconst.) and THE (σxyβ) are displayed by filled and open circles also in a, respectively. The red and blue curves in c–f show the AH conductivity σxyA and TH conductivity σxyT deduced from the transport measurement, respectively. The total Hall conductivity is also shown by dotted curves. The decomposition of AHE and THE is possible in a relatively low field region (≤ 7 T) as exemplified in early works21,33,36, whereas the steep increase of σxy at low temperatures and above 12 T in a field-aligned ferromagnetic region is supposed to stem from the spin-chirality skew scattering38,39,40 (see also Supplementary Note 1).