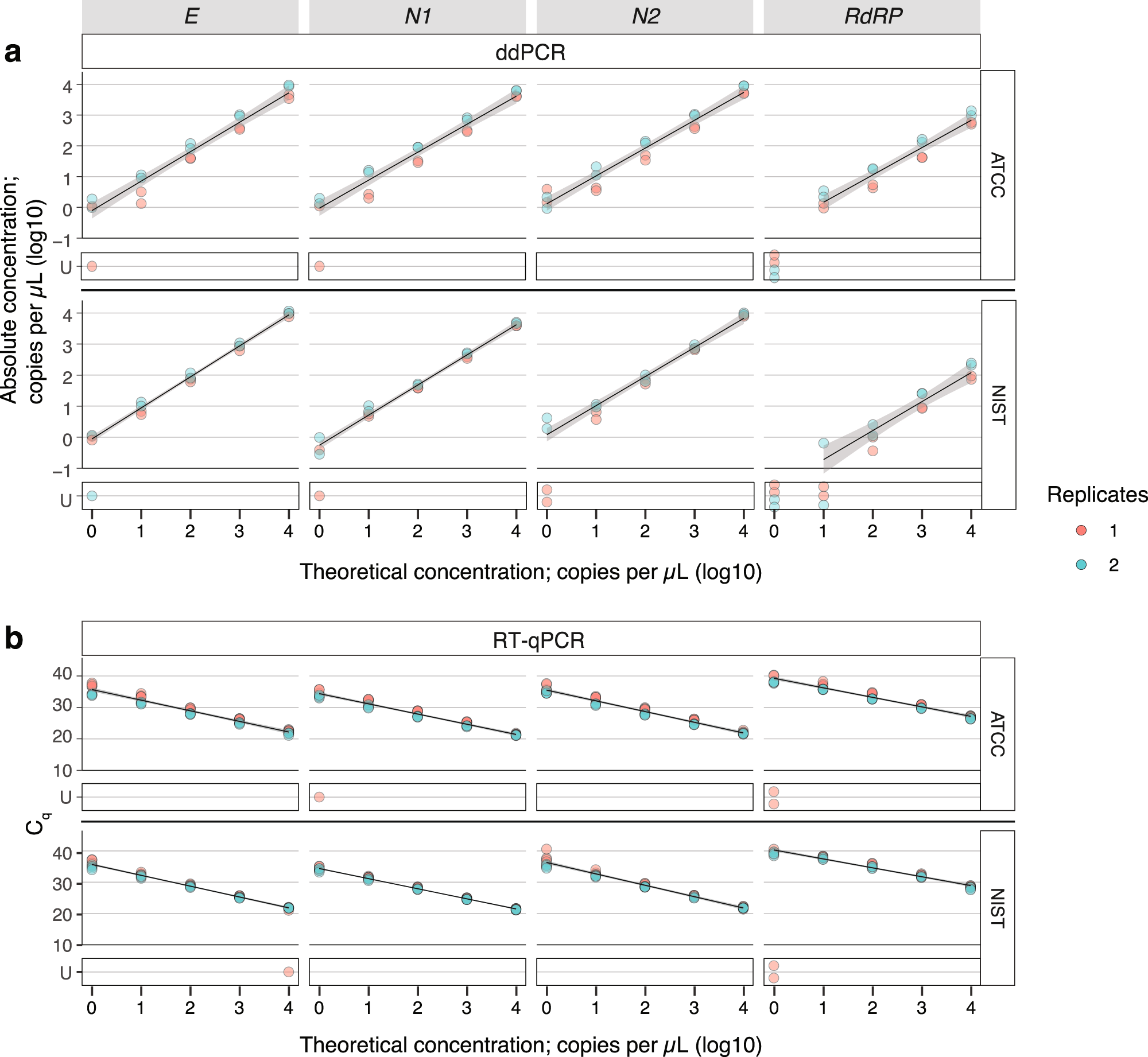
Fig. 1: Robustness of synthetic SARS-CoV-2 RNA standards from ATCC and NIST.

ddPCR and RT-qPCR assays targeting four SARS-CoV-2 RNA targets (E, N1, N2, and RdRP) across a five-point tenfold concentration range of RNA standards from either ATCC or NIST (indicated on the tab to the right). a Theoretical concentrations of RNA are plotted on the x-axis and absolute copy number derived from ddPCR is plotted on the y-axis. All assays were performed in duplicate. b Theoretical concentrations of RNA are plotted on the x-axis and Cq derived from RT-qPCR is plotted on the y-axis. All assays were performed in quadruplicate. Replicates in red and blue refer to two independent experiments performed by two users using separate aliquots of samples. Linear regression is plotted in black and 95% confidence interval is shaded in gray. Samples that did not amplify are delineated as U for undetermined and are not included in the linear regression analysis. Associated statistics are summarized in Supplementary Data 1. Source data are provided as a Source data file.