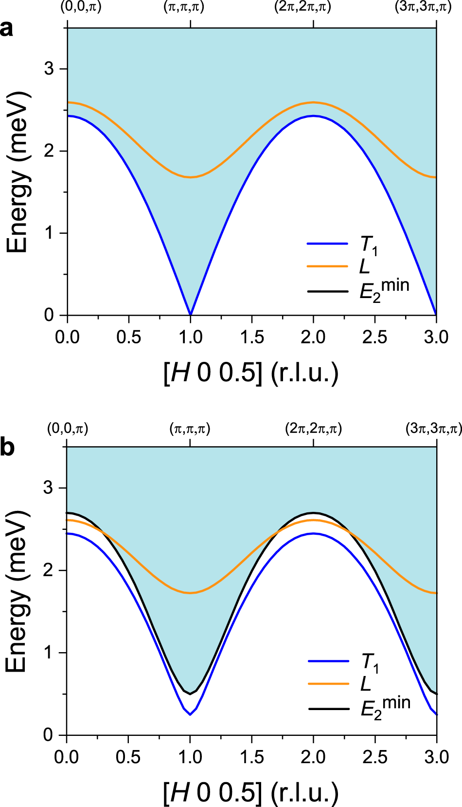
Fig. 8: Kinematic constraints for the decay of the longitudinal mode.
From: Decay and renormalization of a longitudinal mode in a quasi-two-dimensional antiferromagnet

The blue (orange) curve shows the calculated transverse (longitudinal) band dispersions along [H, 0, 0.5] with the GLSWT (using parameters set \({{{{{\mathcal{B}}}}}}\) in TableĀ 1). The light blue-shaded areas indicate the two-transverse mode continuum, whose lower edge is indicated with a black solid line (\({E}_{2}^{{{\min }}}\)). a Results of the effective \(S=1\) model. b Same as a but for a gapped branch of transverse modes (an ad hoc gap has been added to Eq. (21)).