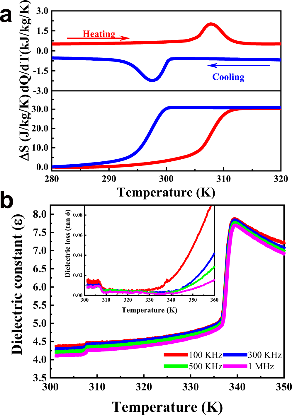
Fig. 2: Phase transitions in 1.

a Top panel, heat flow dQ/dT on heating (red) and cooling (blue) across the FE–PE transition. Bottom panel, the resulting temperature dependence entropy change ΔS. b Temperature-dependent relative permittivities. Inset is the temperature-dependent dielectric loss (tan δ).