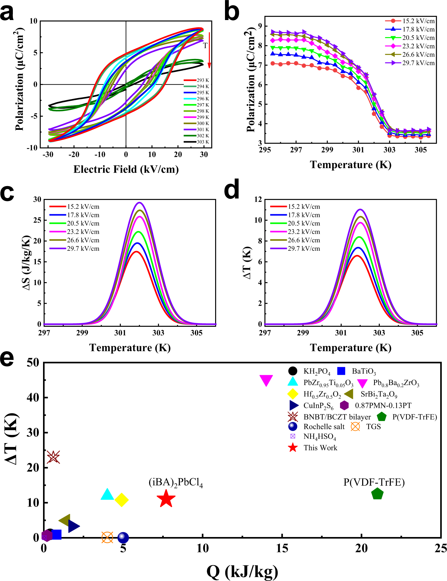
Fig. 4: Ferroelectric and EC performance.

a Polarization versus electric field characteristics measured at different temperatures. b Temperature-dependent polarization at different electric fields, extracted from (a). c Temperature-dependent adiabatic temperature change ΔT at different ΔE. d Temperature-dependent isothermal entropy changes ΔS at different ΔE. e Comparison in terms of cooling performance between 1 and a number of known EC materials.