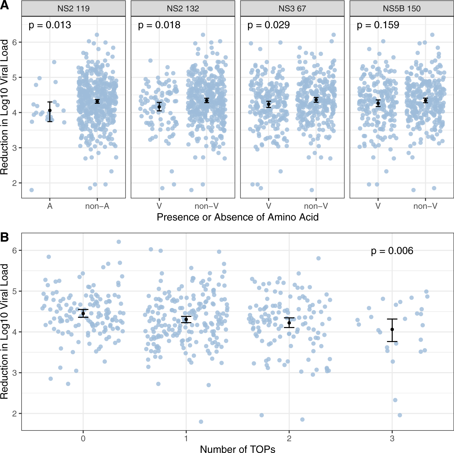
Fig. 3: Reduction in viral load during the first week of therapy and its association with treatment outcome polymorphisms (TOPs).

A Reduction in log10 viral load between baseline and week one of therapy stratified by presence and absence of the residue associated with the lowest SVR rate at each TOP (A: Alanine, non-A: any amino acid other than alanine, V: Valine, non-V: any amino acid other than Valine). n = 507 patients. The mean change in viral load is shown as a black dot for each TOP and the lines indicate its 95% confidence intervals. P-values for difference in mean calculated using one-sided Mann–Whitney test. B Reduction in log10 viral load between baseline and week one of therapy against increasing numbers of TOPs (presence or absence of residue associated with the lowest SVR rate at the target sites). n = 507 patients. The mean change in viral load is shown as a black dot and the lines indicate its 95% confidence interval. P-value for association between number of TOPS and reduction in log10 viral load calculated using linear regression.