Fig. 3: Funding and extraordinary growth are statistically unrelated in NIH subsample.
From: Scientific prizes and the extraordinary growth of scientific topics

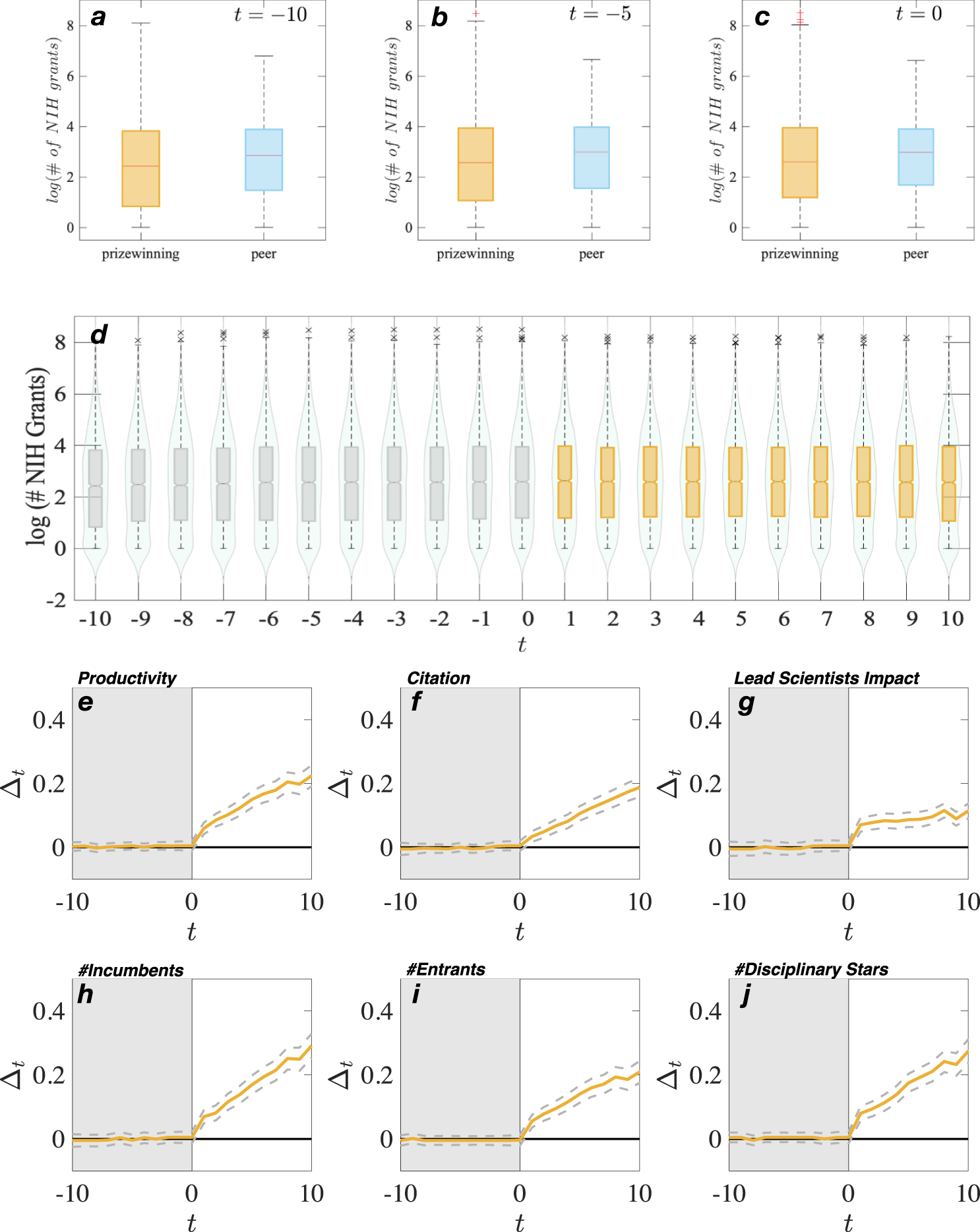
The analysis examines whether funding plays a role in the extraordinary growth of prizewinning topics. In the analysis, we find a subset of 2853 prizewinning topics that were matched on six measures of growth and the receipt of NIH funding, which is publicly available. Repeating the main analysis that was done on the full sample of over 11,000 topics, we found that funding does not explain the extraordinary growth of prizewinning topics. First, a–c shows that prizewinning have statistically equivalent or less funding before the prize than matched topics. Second, d shows that the normalized number of NIH grants is largely flat before (gray box) and after (gold box) the prizewinning event for the prizewinning topics. The center line of the box plot is the median of the normalized grants, box limits correspond to the data’s first and third quartiles, notches represent 95% CI, and violin plots represent the data’s distribution. Third, plots e–j show that prizewinning topics grow relatively larger than expected after the prize year consistent with the main analysis with the full sample.