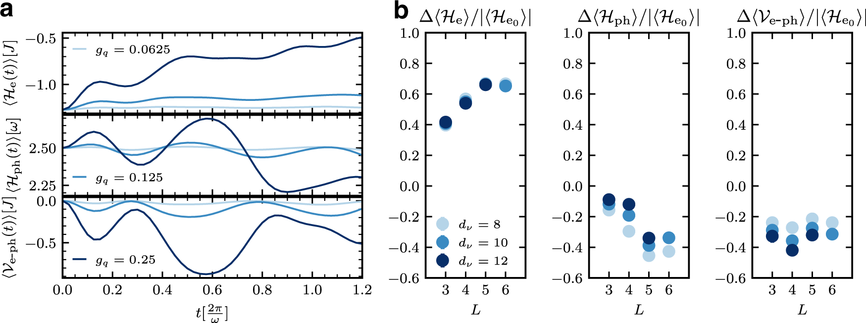
Fig. 1: Energy redistribution among the different system subsectors.

a Infinite system iTEBD simulations of the time dependence of the electronic (top), phononic (middle) and electron-phonon (bottom) energy densities for ω = π/2 show a trend with larger gq of rapid heating of the electronic subsector, accompanied by transient relaxation of the electron-phonon subsector. b Exact Krylov propagation of small systems with L = 3 − 6 and local phonon Hilbert space dimension dν = 8, 10, 12 (L = 6 is restricted to dν = 10) for ω = π/2 and the largest coupling strength gq = 0.25 to asymptotically long times showing the net change relative to the initial state in electronic (left), phononic (center) and electron-phonon (right) energy densities confirms a correlated electron-phonon steady state, as evidenced by the considerable flow of energy from the electron-phonon subsector to the electronic subsector. The y-axis labels of the net change in energy densities have been placed at the top of the corresponding plots. Here, \({{{{{{{{\mathcal{H}}}}}}}}}_{{{{{{{{{\rm{e}}}}}}}}}_{0}}\equiv {{{{{{{{\mathcal{H}}}}}}}}}_{{{{{{{{\rm{e}}}}}}}}}(0)\).