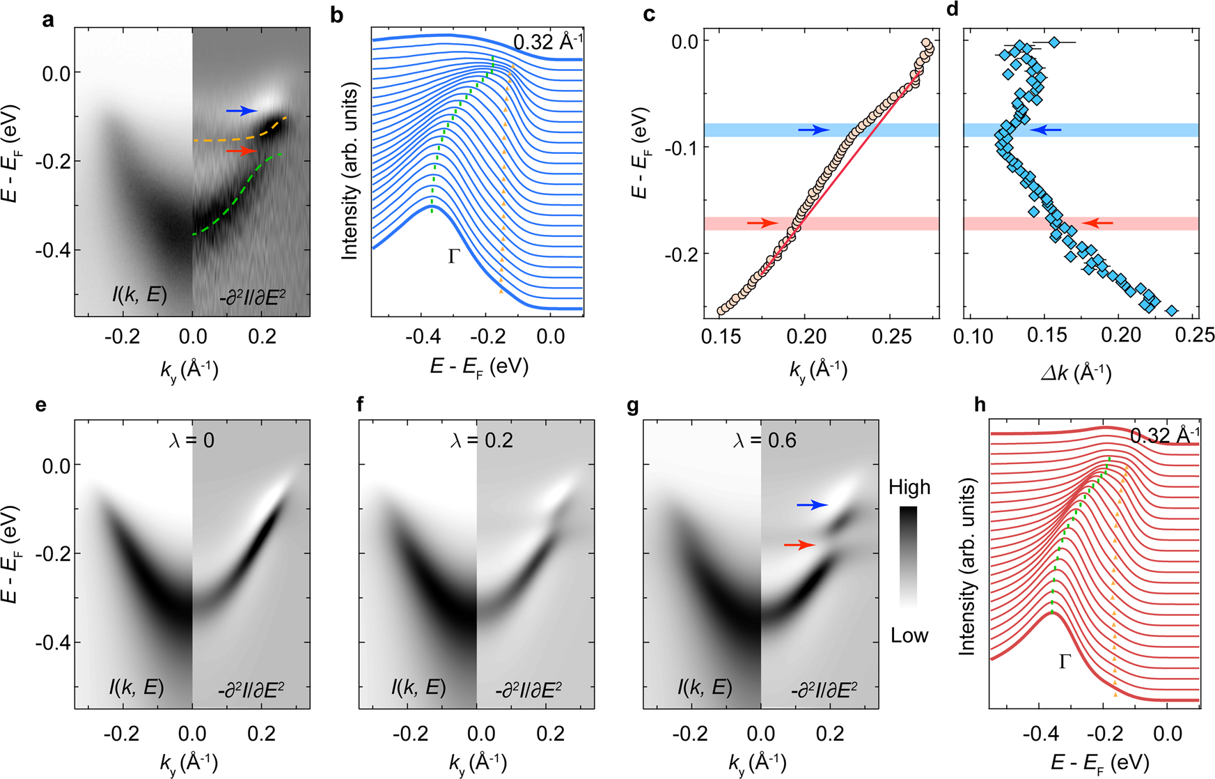
Fig. 4: Holstein polarons in K0.3MoO3.
From: Band-selective Holstein polaron in Luttinger liquid material A0.3MoO3 (A = K, Rb)

a ARPES intensity map of the AB band along \(\bar{X}-\bar{Z}\) (left) and its second derivative (right) with respect to the energy axis measured with linear-vertically polarized 7 eV laser at 75 K. The orange and green dashed curves are the guides to the eyes for the band discontinuity (emphasized with blue and red arrows). b Stacking plot of EDCs showing observed dispersions. The green bar and orange triangles are the guides to the eyes for dispersions. c, d Extracted AB band dispersion (c) and the spectral broadening (d) showing a kink-like feature near 85 meV below EF (blue arrow). The red line in panel c is the guide to eyes for the bare band dispersion. The error bars are determined by the combination of the confidence intervals of the data fitting and deviations between samples. e–g Simulation of the spectral function (left) and its second derivative (right) of Holstein polarons at different EPC parameters. h Simulated EDCs showing good agreement with the raw data in a. The green bar and orange triangles are the guides to the eyes for dispersions.