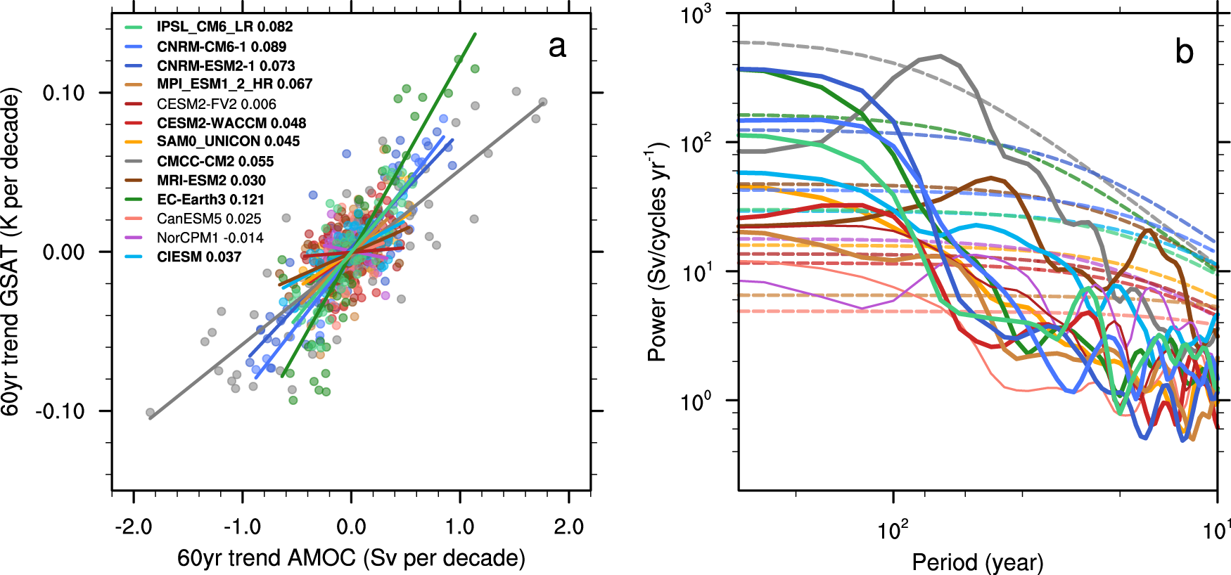
Fig. 4: Relationship between GSAT and AMOC in CMIP6 control simulations.
From: Increased risk of near term global warming due to a recent AMOC weakening

a Scatter plot of Atlantic Meridional Overturning Circulation (AMOC) (Sv decade−1) versus Global near-Surface Air Temperature (GSAT) (K decade−1) trends calculated overall 60 year windows increasing by 10 years from the first 500 years of the pre-industrial control (piControl) simulations of thirteen CMIP6 models. The lines represent the least square regression between these two variables for each model. The regression coefficients (K Sv−1) are indicated in bold beside the model’s name when the regression is significant (p < 0.1, see Methods). b Smoothed power spectra of the AMOC time series from the first 500 years of the piControl simulations of the same thirteen CMIP6 models (solid lines, thick when the regression is significant), with the 95% confidence limit estimated from a red noise (dashed lines). A Lanczos low-pass filter with a cutoff period of 5 years is used.