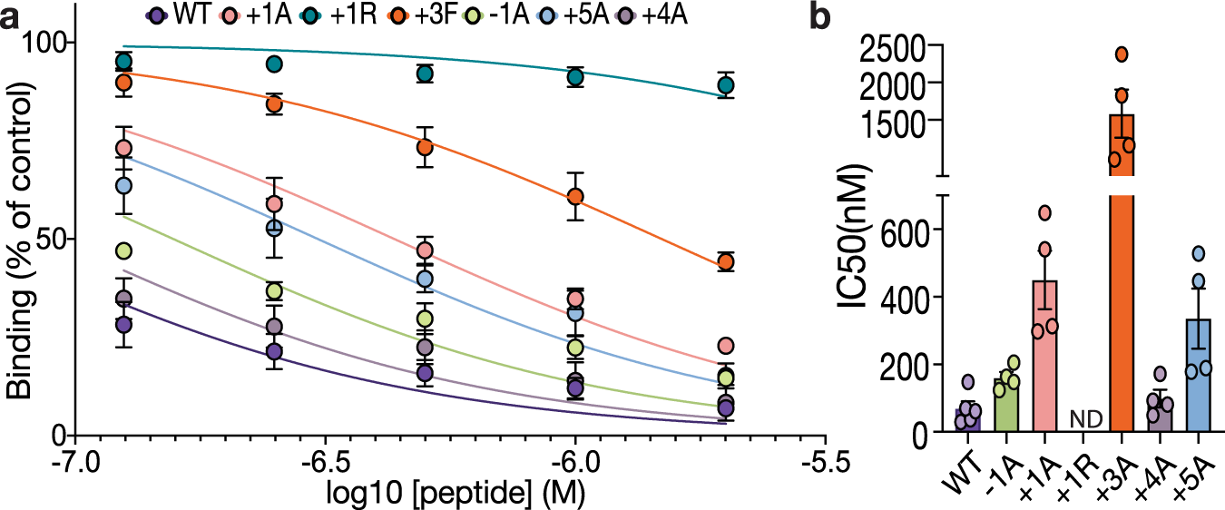
Fig. 3: Mutational Analysis of the LNK binding site in JAK2.
From: Structural and functional analysis of target recognition by the lymphocyte adaptor protein LNK

a Percentage of binding (measured by the response at equilibrium) to the IL6ST pY757 peptide chip after pre-incubation with varying concentrations of mutant JAK pY813 peptides. b Point at which 50% of binding is inhibited shown as IC50. For both, data are shown as mean ± SEM of technical replicates from at least two independent experiments (WT data were from five samples from n = 3 independent experiments, all mutant data were from four samples from n = 2 independent experiments).