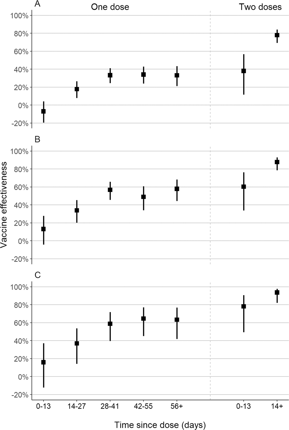
Fig. 3: ChAdOx1 vaccine effectiveness by dose.

Adjusted vaccine effectiveness (squares) and 95% confidence intervals (lines) of one and two doses of ChAdOx1, by time since vaccination, against symptomatic Covid-19 (A), Covid-19 hospitalization (B), and Covid-19-related death (C) among matched case-control pairs (n = 61,360 RT-PCR tests). Source data are provided as a Source Data file.