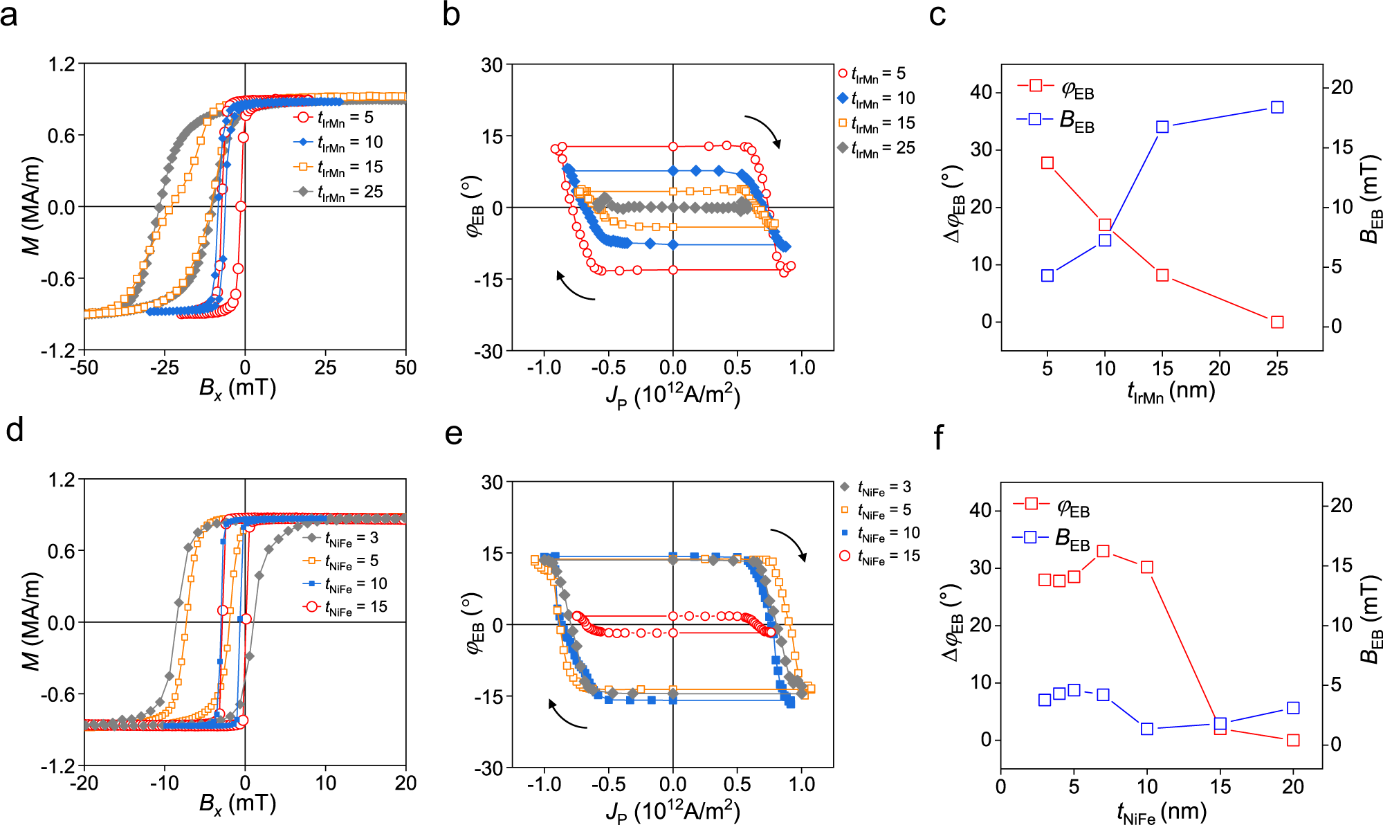
Fig. 4: Thickness dependence of SOT-induced exchange bias switching.
From: Current-induced manipulation of exchange bias in IrMn/NiFe bilayer structures

a–c. Hysteresis loop measured using a magnetic field along the x-axis, Bx (a), the φEB versus current density (JP) curves, where the arrows denote the sweeping direction of JP (b), ΔφEB [ = φEB (−I) − φEB (+I)] and BEB as a function of IrMn thickness tIrMn (c) of the IrMn (tIrMn)/NiFe (4 nm) samples with different tIrMn’s ranging from 5 to 25 nm. d–f. Hysteresis loop measured using Bx (d), the φEB versus JP curves, where the arrows denote the sweeping direction of JP (e), the ΔφEB and BEB versus tNiFe (f) of the IrMn (5 nm)/NiFe (tNiFe) samples with different tNiFe’s ranging from 3 to 20 nm.