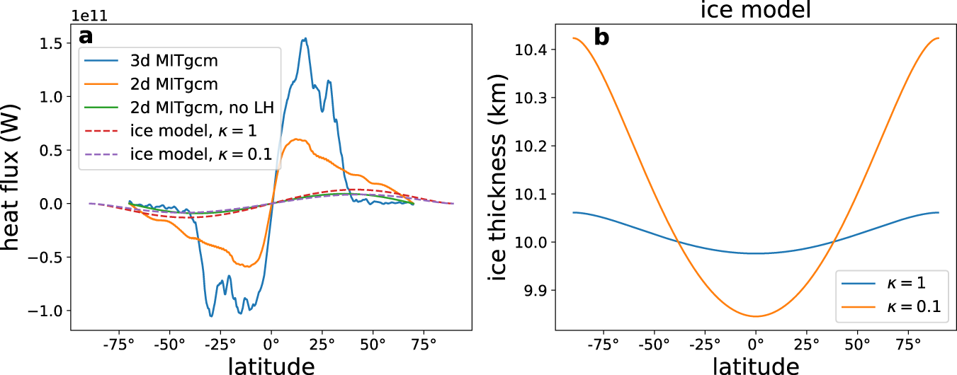
Fig. 6: Meridional ocean heat transport and implications for ice thickness.

a The oceanic meridional heat transport calculated using the 2d and 3d ocean simulations in this work (solid lines). The heat transport is positive northward, so that the heat transport is poleward in both hemispheres. The green solid line shows the meridional transport calculated from the difference between the geothermal heat flux and the diffusive heat flux through the ice (text). Also shown (thin dash lines) are estimates of ocean heat transport using the slab ocean model of ref. 31, coupled to an ice flow model, for two oceanic eddy mixing values, κ = 1, 0.1 m2 s−1. b Ice thickness (km) associated with the heat transport curves shown in a (dashed lines) showing almost uniform ice thickness even for relatively small eddy mixing coefficient of κ = 1 m2 s−1.