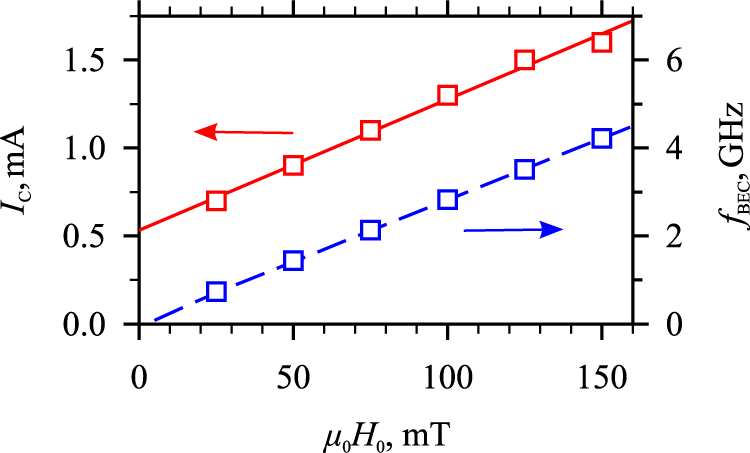
Fig. 5: Dependence on the magnetic field.
From: Evidence for spin current driven Bose-Einstein condensation of magnons

Static-field dependence of the critical current IC and of the BEC frequency fBEC. A solid line is the linear fit of the experimental data. Dashed curve—calculated frequency of the lowest-energy magnon state fmin.