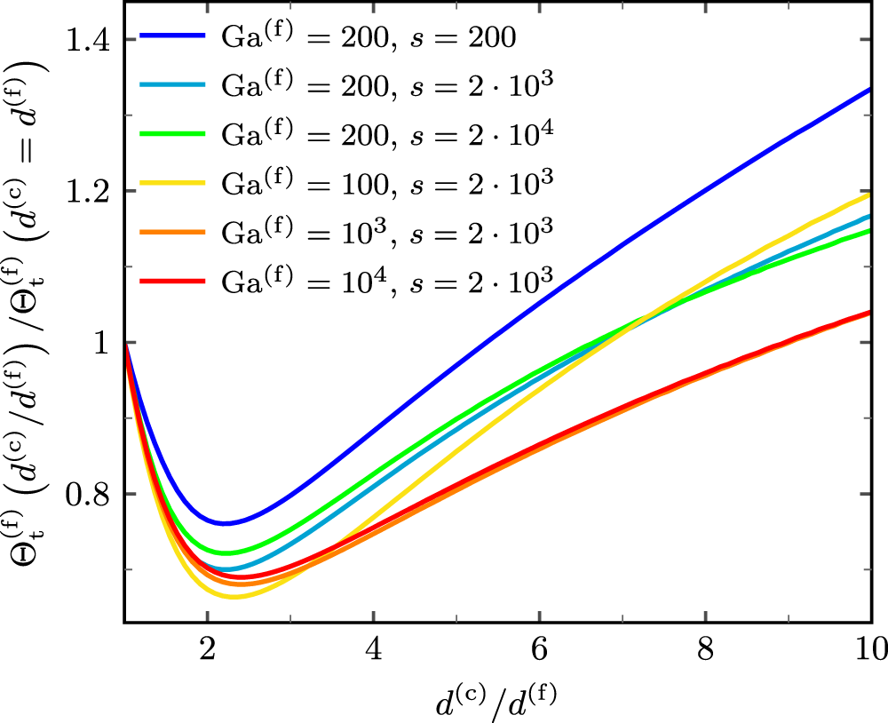
Fig. 6: Relation between bidisperse and monodisperse saltation thresholds.
From: Megaripple mechanics: bimodal transport ingrained in bimodal sands

Comparison of fine-grain saltation thresholds based on the periodic saltation model for bidisperse, \({{{\Theta }}}_{{{{{{{{\rm{t}}}}}}}}}^{({{{{{{{\rm{f}}}}}}}})}\left({d}^{({{{{{{{\rm{c}}}}}}}})}/{d}^{({{{{{{{\rm{f}}}}}}}})}\right)\), and monodisperse, \({{{\Theta }}}_{{{{{{{{\rm{t}}}}}}}}}^{({{{{{{{\rm{f}}}}}}}})}\left({d}^{({{{{{{{\rm{c}}}}}}}})}={d}^{({{{{{{{\rm{f}}}}}}}})}\right)\), sand for different atmospheric conditions parametrized by the Galileo number Ga(f) and density ratio s.