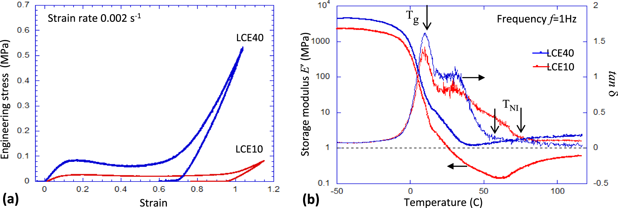
Fig. 1: Mechanical characterisation of LCE materials.
From: Impact damping and vibration attenuation in nematic liquid crystal elastomers

a Near-equilibrium stress–strain curves for LCE10 and LCE40 materials, highlighting the wide soft plateau through internal re-orientation of the polydomain LCE on stretching, as well as the ability to withstand large deformations. b Temperature scan of linear oscillating response (at fixed 1 Hz), highlighting the high tan δ across all of the nematic range.