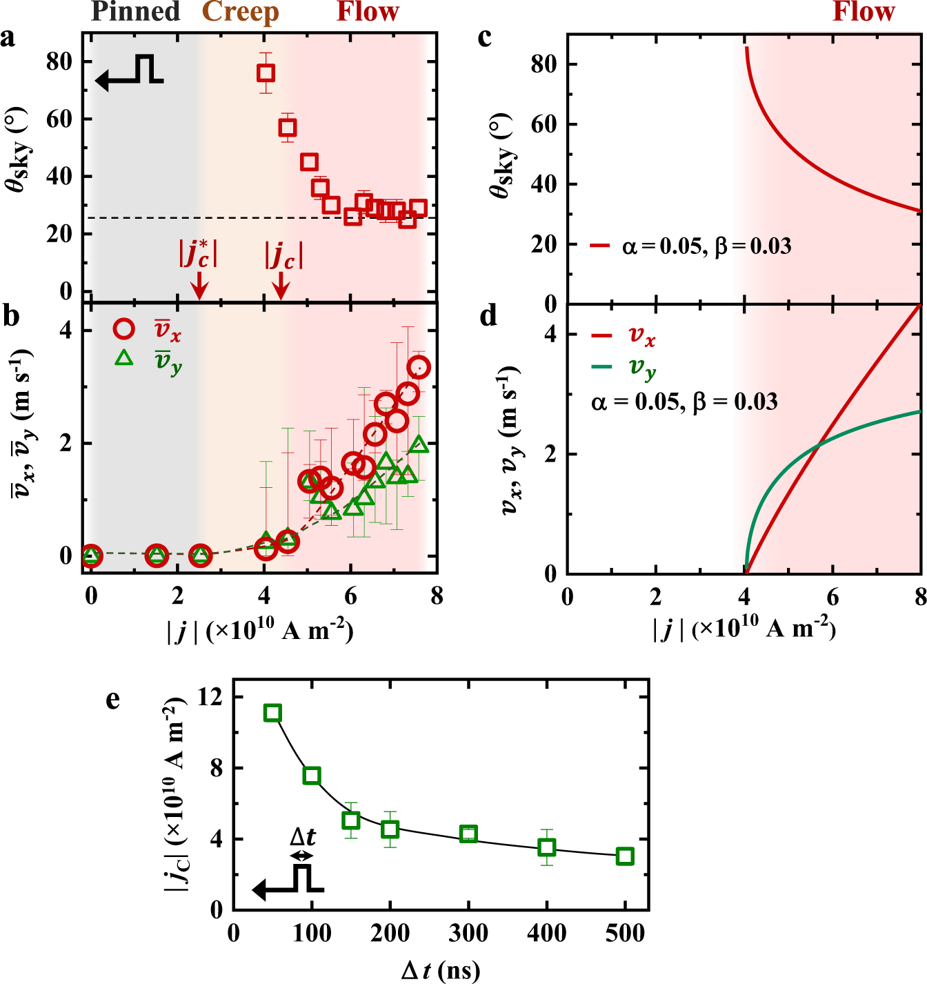
Fig. 4: Dynamic transition of single-skyrmion motion as a function of pulsed electric current.

a, b Evolution of a the skyrmion Hall angle (\({\theta }_{{sk}}\)) and b the average skyrmion velocities (\({\bar{v}}_{x}\) and \({\bar{v}}_{y}\)) with electric current density for 150 ns pulse duration and −80 mT magnetic field derived from L-TEM observations. The Hall angle saturates at ~26° with increasing electric current, as marked by the dashed line in (a). \({\bar{v}}_{x}\) (red color) and \({\bar{v}}_{y}\) (green color) in (b) are the average transverse and longitudinal velocities of the single skyrmion, respectively. The error bars in (b) show the maximum and minimum velocities for a single current pulse. The gray, orange, and pink regions in (a, b) correspond to the skyrmion-pinned regime (\({|j|}\) < \({{|j}}_{C}^{\ast }|\) ~2.52 × 1010 A m−2), the skyrmion creep-motion regime (2.52 × 1010 A m−2 < \({|j|}\) < 4.54 × 1010 A m−2), and the skyrmion linear flow-motion regime (\({|j|}\) > \({{|j}}_{C}|\) ~4.54 × 1010 A m−2), respectively. c, d Calculations of \({|j|}\)-dependent (c) Hall angle \({\theta }_{{sk}}\) and (d) velocities of \({v}_{x}\) (red line) and \({v}_{y}\) (green line) with \(\alpha =\) 0.05 and \(\beta =\)0.03 for the flow regime of skyrmion motion. e A plot of the critical current density (\({{|j}}_{C}|\)), driving a single-skyrmion motion into the flow regime, as a function of the pulse duration \(\triangle t\).