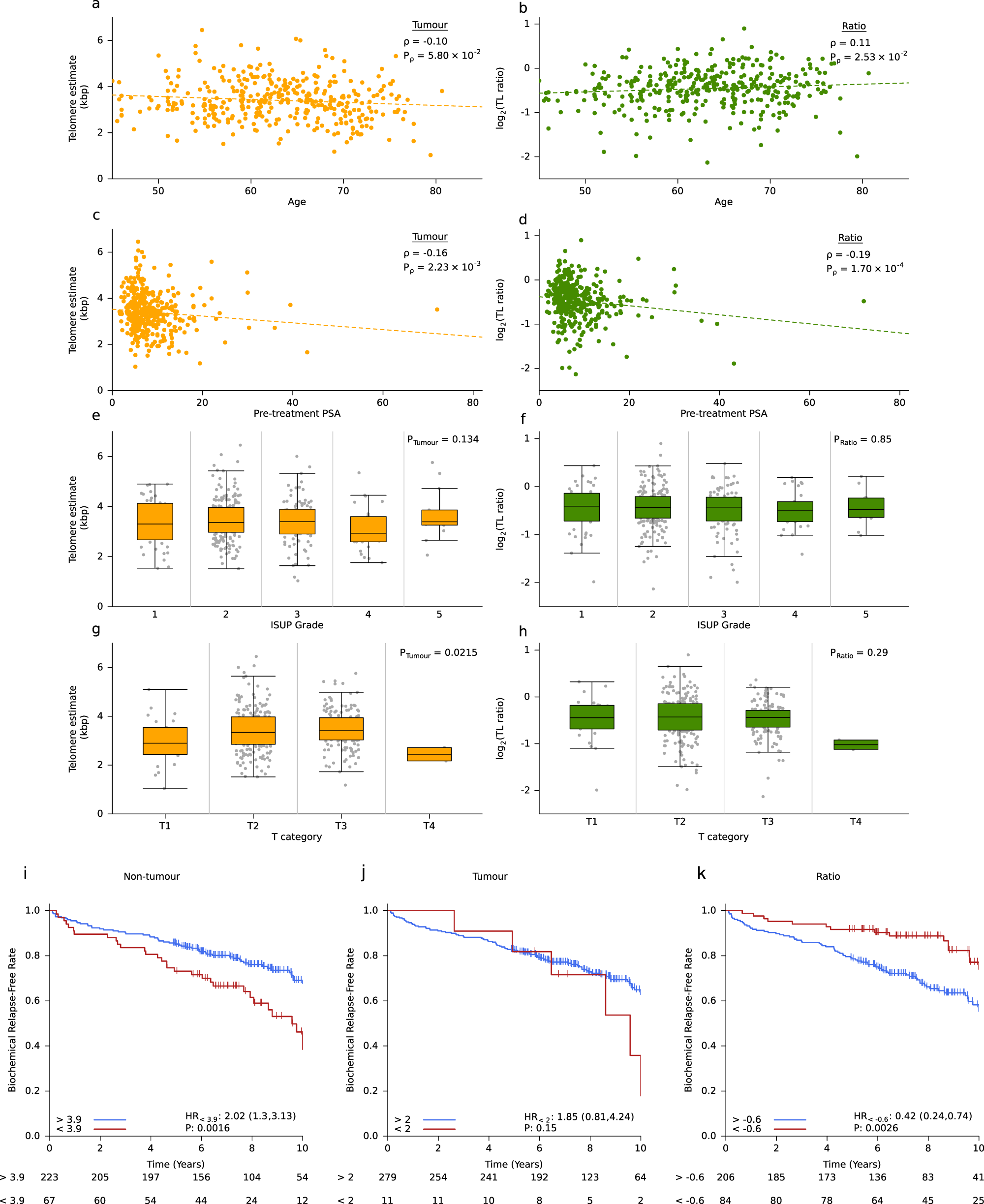
Fig. 6: Telomere length is associated with clinical features and biochemical relapse.

a, b Correlation of age at diagnosis with a tumour telomere length (TL) and b TL ratio. Spearman’s ρ and P-values are displayed, two-sided. c, d Correlation of pre-treatment prostate specific antigen (PSA) with c tumour TL and d TL ratio. Spearman’s ρ and P-values are displayed, two-sided. e, f Association of ISUP (International Society of Urological Pathology) grade with e tumour TL and f TL ratio. P-value is from a one-way ANOVA, n = 381. Box plots depict the upper and lower quartiles, with the median shown as a solid line; whiskers indicate 1.5 times the interquartile range (IQR). g, h Association of T category with g tumour TL and h TL ratio. P-value is from a one-way ANOVA, n = 381. Box plots depict the upper and lower quartiles, with the median shown as a solid line; whiskers indicate 1.5 times the interquartile range (IQR). On all plots, green indicates TL ratio, while orange indicates tumour TL. i, k Cox proportional hazard models were created for i non-tumour TL, j tumour TL and k TL ratio with biochemical relapse (BCR) as the endpoint. Samples (n = 290) were split into two groups based on the optimal cut point analysis (Methods).