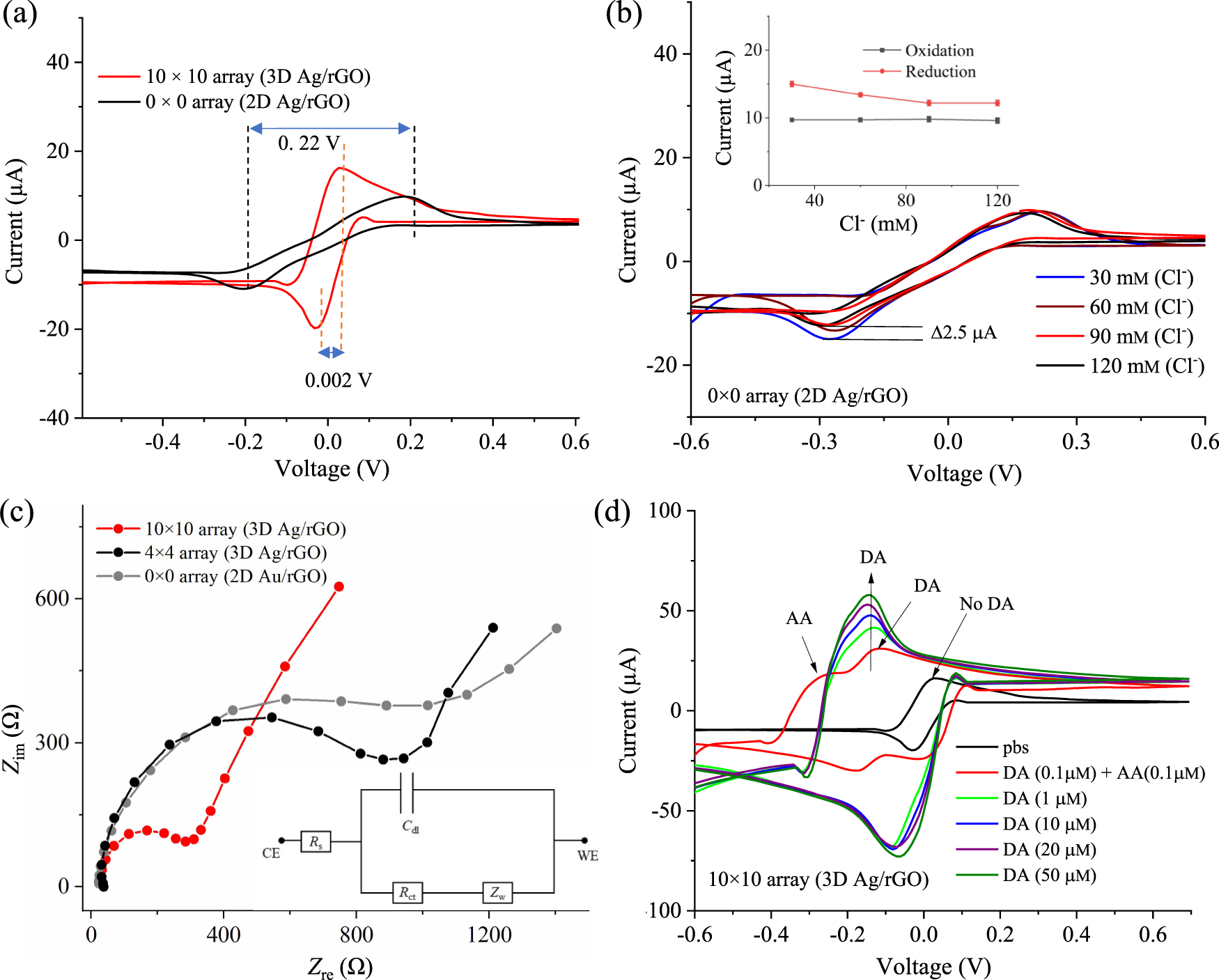
Fig. 3: Cyclic voltammetry results for different electrode architectures.

a CV of 2D Ag/rGO (0āĆā0 array) and 3D Ag/rGO (10āĆā10 array) electrodes at a fixed scan rate of 0.5 V/s. The CV experiment was carried out in the presence of pbs (50āmm, pH 7.4) added with equimolar concentration (1.0āmm) of ferro/ferricyanide [Fe(CN)6]3ā/4āmediator. b Effect of chloride (Clā) concentration using CV measurements for 2D Ag/rGO (0āĆā0 array) electrode where the Clā is varied from 30 to 120āmm. Inset of (b) depicts the variation of oxidation/reduction peak currents with Clā concentrations. The concentration of ferro/ferricyanide was set to 1āmm at a fixed scan rate of 0.5āV/s for this study. Oxidation current is found to be unchanged, but reduction potential showed a minute variation of current, ~2.0āµA, at Clā concentration of 30ā90āmm after which it becomes saturated and stable. The graph in inset (b) corresponds to the median value of three repeated measurements (nā=ā3). Error bars: medianā±āSD. c The electrochemical impedance spectroscopy (EIS) responses of 2D Au/rGO (0āĆā0 array), 3D Ag/rGO (4āĆā4 array), and 3D Ag/rGO (10āĆā10 array) for a voltage amplitude of 1āmV as a function of the frequency (1ā10,000āHz). Inset of (c) shows the equivalent electrical circuit diagram to evaluate the charge transfer resistance (Rct). The EIS/CV experiments were conducted in presence of pbs (50āmm, pH 7.4) containing an equimolar concentration of 1āmm [Fe(CN)6]3ā/4ā. d 3D sensor (10āĆā10 array) electrode was used to detect dopamine concentration of 0.1ā50āµm and an investigation of cross-reactivity effect was performed in presence of ascorbic acid (AA) (0.1āµm) at a fixed scan rate (0.5āV/s) and Cl- concentration (120āmm). The results indicate that the current increases with an increase in dopamine concentration at a fixed oxidation potential of ā0.14āV.