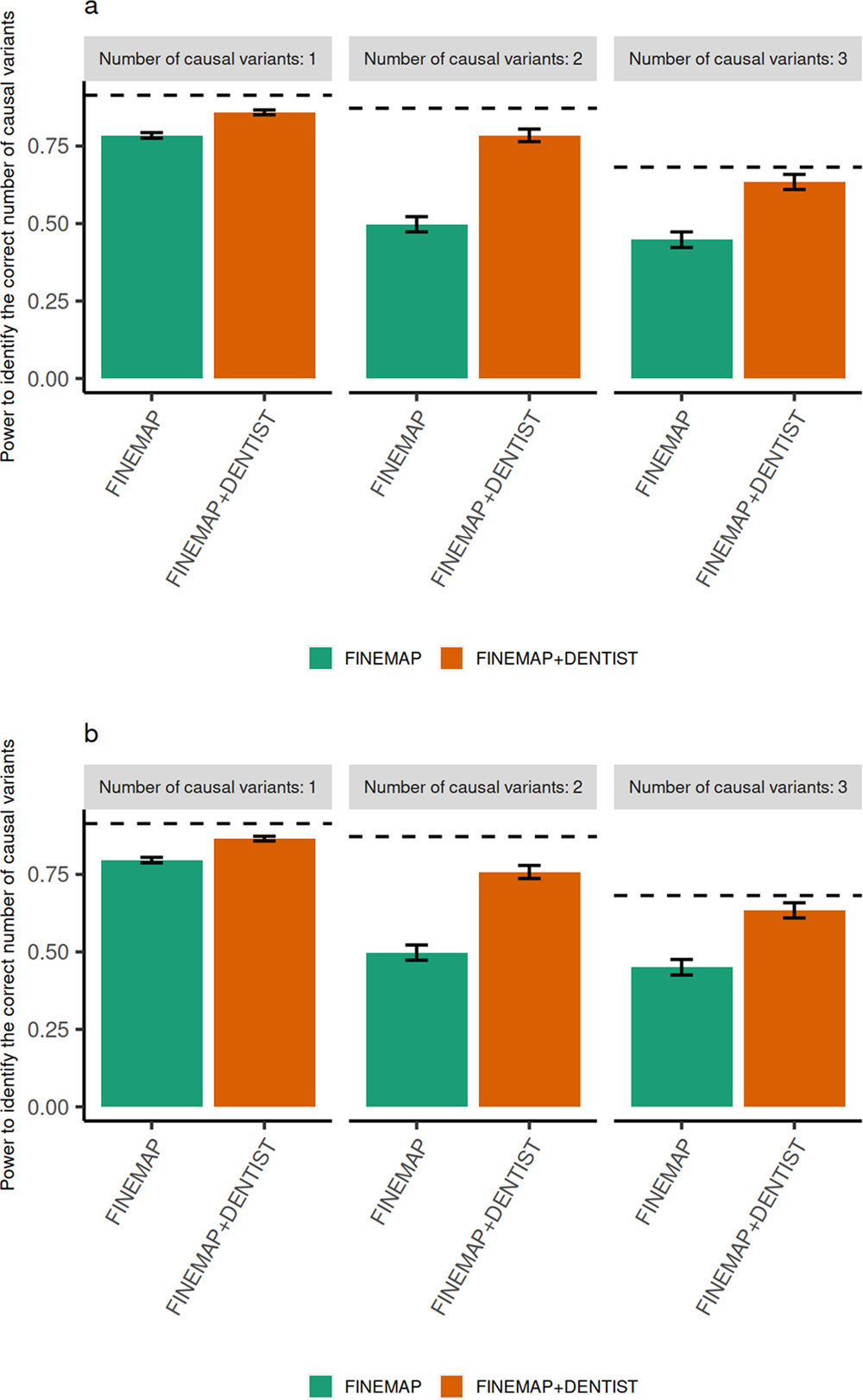
Fig. 3: Power of FINEMAP with and without DENTIST QC.
From: Improved analyses of GWAS summary statistics by reducing data heterogeneity and errors

The power of FINEMAP is measured by the percentage of simulation replicates in which the number of causal variants is correctly identified under the simulation scenario with 1, 2, or 3 causal variants. In a, LD reference = HRS. In b, LD reference = ARIC. The horizontal dashed line in each bar plot shows the benchmark, i.e., the power of FINEMAP when using in-sample LD. The height of each bar plot represents the power estimated from the pooled results of 2200 replicates. The error bar represents s.e. estimated from binomial distribution. Source data are provided as a Source Data file.