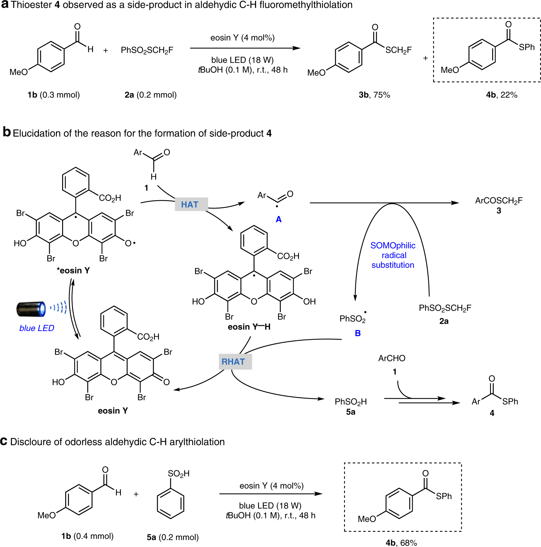
Fig. 3: Discovery of aldehydic C–H thiolation using arylsulfinic acid as an odorless sulfur reagent.
From: Divergent functionalization of aldehydes photocatalyzed by neutral eosin Y with sulfone reagents

a Thioester 4 observed as a side-product in aldehydic C–H fluoromethylthiolation. b Possible rationale for the formation of side-product 4. c Development of odorless aldehydic C–H thiolation.