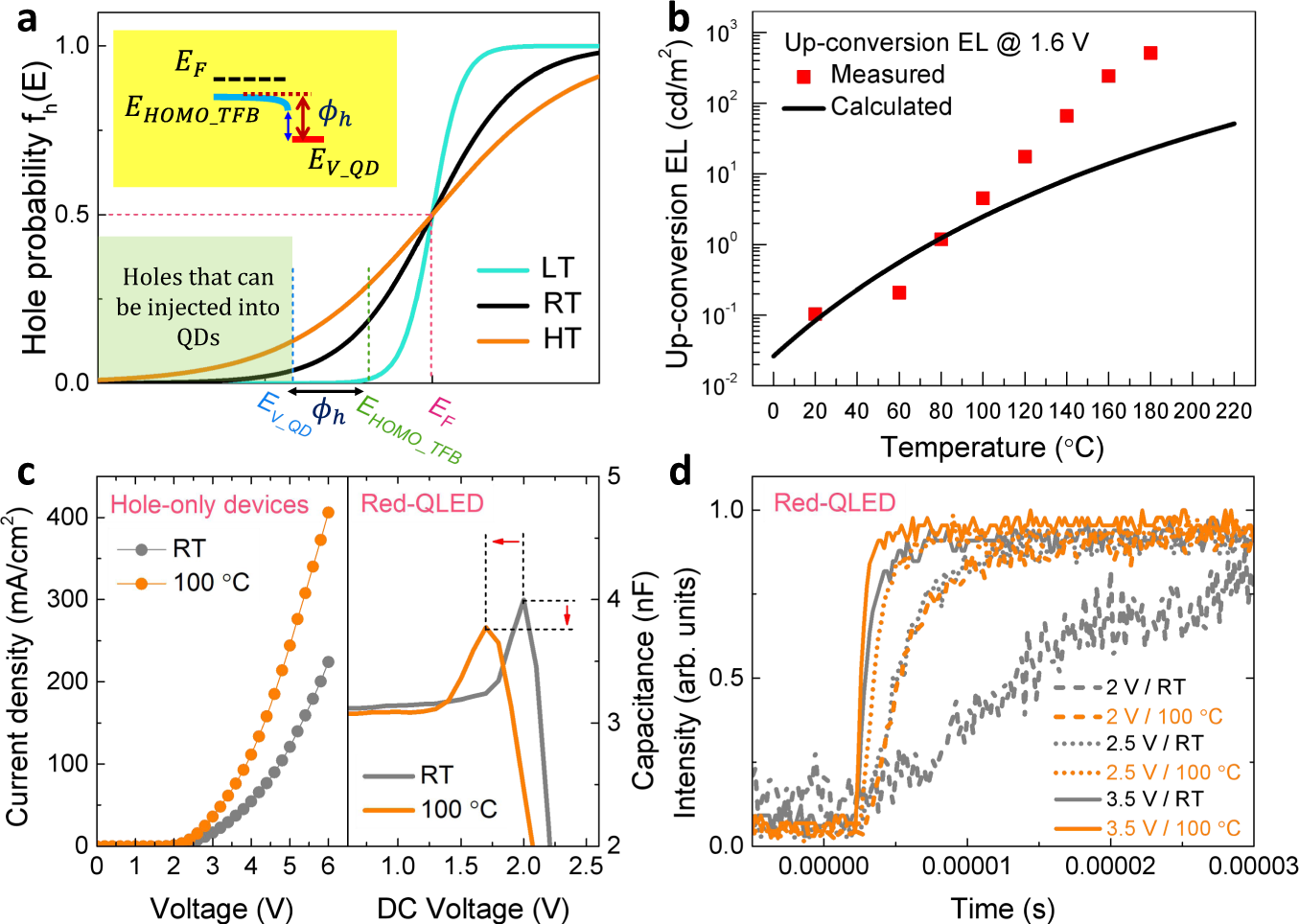
Fig. 3: Thermal-assisted hole-injection.
From: Thermal assisted up-conversion electroluminescence in quantum dot light emitting diodes

a The probability of finding the holes at different energy: when the temperature is elevated, the probability that the holes can be injected into QDs is remarkably increased. b Up-conversion EL at 1.6 V under different temperatures: the calculated results agree fairly well with the measured one when the temperature is lower than 80 °C. At high temperature, the discrepancy is caused by the thermal excitation that increases the hole concentration of TFB. c The current density (J)-V characteristics of hole-only devices and capacitance-V characteristics of the red QLEDs at RT and 100 °C: at elevated temperature, the hole current is substantially enhanced, which thus reduces the peak capacitance of the devices. d The transient EL of red-QLEDs: at elevated temperature, the devices are turned-on more rapidly due to enhanced hole injection.