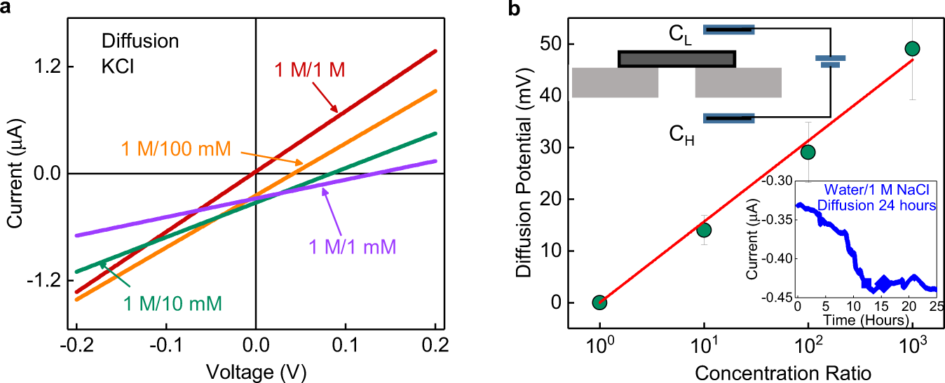
Fig. 2: Poor ion selectivity of intercalated graphite.
From: Selective transport of water molecules through interlayer spaces in graphite

a Current–voltage characteristics for various concentrations of KCl under a concentration gradient. The concentration of one of the reservoirs (CH) was fixed to 1 M and the other (CL) was varied from 1 M to 1 mM. b The estimated diffusion potential is plotted as a function of the concentration ratio. The red solid line indicates the best fit to the measured data. The error bar provides an estimate of the spread in the diffusion potential in repeated measurements. The top inset shows the schematic of the drift-diffusion experiments. The bottom inset shows the diffusion current measured over a duration of 24 h, with water on one side of the sample and 1 M NaCl on other side.