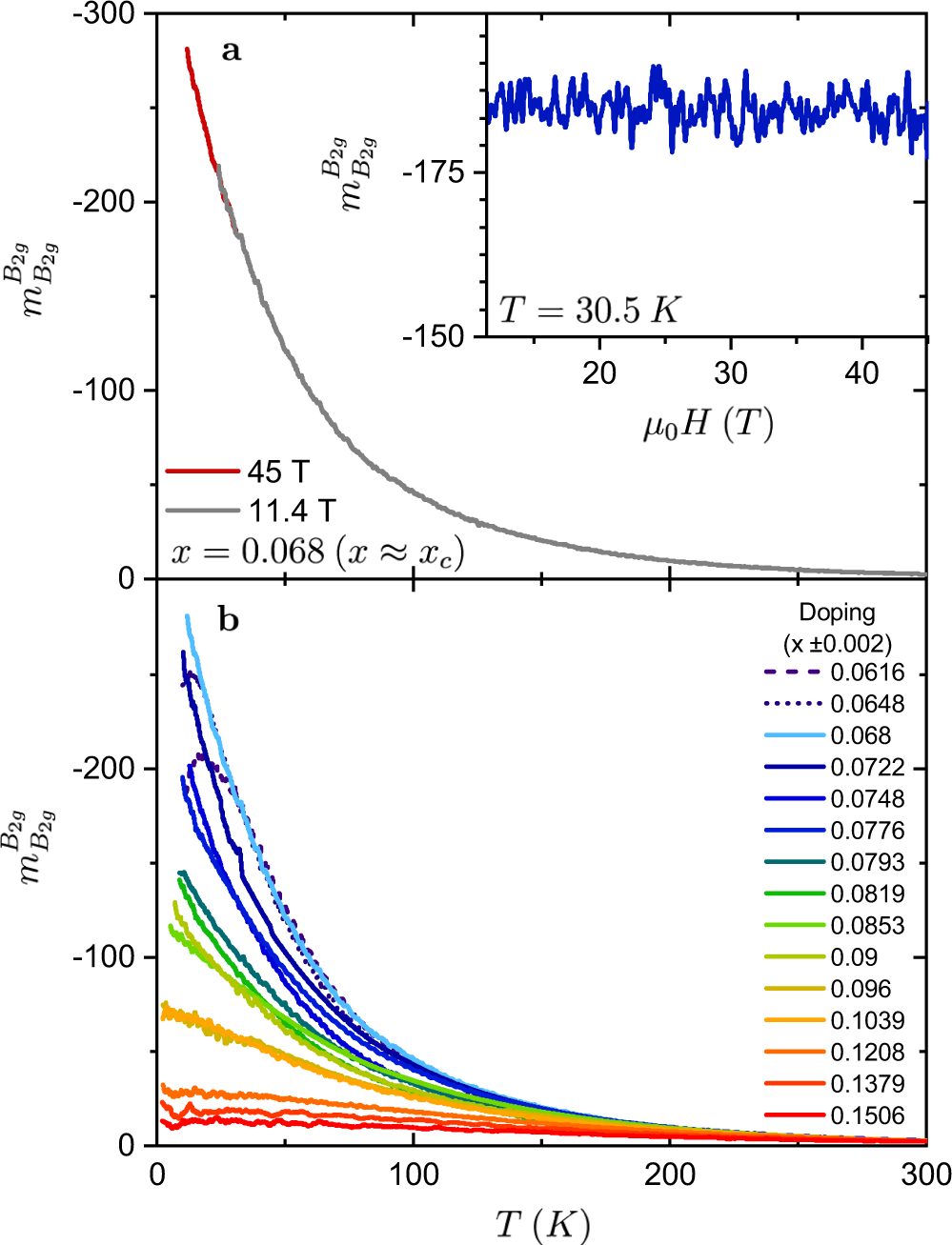
Fig. 1: The doping and temperature dependence of \({m}_{{B}_{2g}}^{{B}_{2g}}\).

a Temperature dependence of \({m}_{{B}_{2g}}^{{B}_{2g}}\) for the composition closest to xc, Ba(Fe0.932Co0.068)2As2, in fields of 11.4 and 45 T. Inset shows the absence of any observable field dependence of \({m}_{{B}_{2g}}^{{B}_{2g}}\) above the zero-field superconducting transition. b The evolution of \({m}_{{B}_{2g}}^{{B}_{2g}}\) with doping as a function of temperature. Data taken with fields between 0 and 45 T.