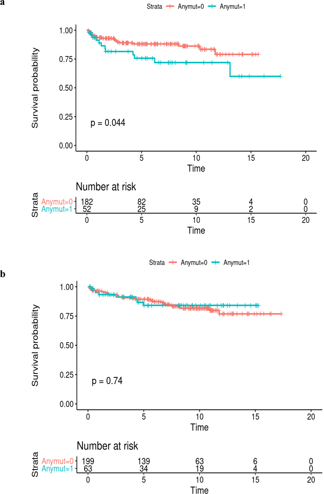
Fig. 5: Kaplan–Meier Estimation Curve of Time to BCR as a Function of DDRG Germline Mutation Status.

DDRG mutation status (0, No mutation vs. 1, Any mutation), for CaP patients in AA (N = 259) (top figure, a) and European Ancestry patients (N = 272) (bottom figure, (b). The log-rank p value (p = 0.044) indicates that there is an association between DDRG germline mutation and BCR over 20 years of clinical follow up after radical prostatectomy in AA men. Source data are provided as a Source Data file.